- 
						
							The weakly interacting massive particle (WIMP) is a promising candidate for dark matter (DM), the existence of which has been confirmed through various gravitational effects [1-3]. Currently, only null results have been reported by DM searching experiments, which have imposed stringent bounds on DM candidates [4-7]. One way to probe the DM candidate ( $ X^0 $ ) at the Large Hadron Collider (LHC) is through the so-called “mono-X” channel, in which a pair of DM candidates is produced in association with a jet or a photon radiated out from initial state partons [8-21]. However, as they are strongly correlated with DM direct detection experiments, the mono-X channels are highly constrained in DM direct search experiments [22, 23]. Other methods include the processes of$ pp\to X^\pm X^0 $ and$ pp\to X^+X^- $ , where$ X^\pm $ denotes the next-to-lightest dark particle. The collider signature relies on the mass split,$ \Delta m\equiv m_{X^\pm}-m_{X^0} $ . If$ \Delta m $ is much less than electroweak (EW) gauge bosons, i.e.,$ \Delta m\ll m_{W/Z} $ , it yields a signal of long-lived particles or suddenly disappearing tracks [24, 25]. When$ \Delta m > m_{W/Z} $ , it yields the signature of missing transverse momentum ($ {{\not\!\! E}}_{ T} $ ) plus either leptons [26-29] or jets [30, 31], depending on how the EW gauge boson decays, and where$ {{\not\!\! E}}_{ \rm T} $ predominantly originates from the DM candidates. Owing to the huge SM background, the potential of the process of$ pp\to X^\pm X^0 $ on probing DM is limited [32].We consider the process of $ pp\to X^+X^- $ with subsequent decays of$ X^\pm\to W^\pm X^0 $ ; see Fig. 1. To increase the signal rate, we impose that the W bosons decay into a pair of quarks. When mass split$ \Delta m $ is much larger than$ m_{W} $ , the W boson is highly boosted, such that the quarks from its decay are collimated and form a fat W-jet ($ W_ J $ ). The conventional jet reconstruction method does not apply, and the jet-substructure method must be adopted to deal with the fat W-jet. When the transverse momentum of W is larger than 200 GeV, the jet-substructure algorithm dominates over the traditional method in identifying the W-jet and suppressing the QCD background [33]. Hence, we focus on the collider signature of two fat W-jets plus$ {{\not\!\! E}}_{ T} $ , denoted as$ W_JW_J {{\not\!\! E}}_{ T} $ , and show that it is much more effective than the conventional method of probing$ X^0 $ and$ X^\pm $ , especially when mass split$ \Delta m $ is large.  Figure 1. (color online) Pictorial illustration of the two boosted W-jets plus missing energy ${\not\!\!{E}}_{ T}$ production at the LHC.The dark particles can be scalars, fermions, or vectors, which arise from various new physics models, including the dark scalar, $ S^\pm $ , in the Inert Doublet Higgs models, fermionic supersymmetric particle$ F^\pm $ in the supersymmetry (SUSY) models [34-36], or the additional gauge boson$ V^\pm $ in the Little Higgs models [37-39]. Our study shows that the signature of$ W_JW_J {\not\!\! E}_{ T} $ is not sensitive to the spin of the DM candidate, and can thus be extensively used in DM searches.
- 
						
							We performed a simulation at the LHC with a collider energy of 14 TeV. For simplicity, we assumed that $ X^\pm $ decays entirely into a pair of$ X^0 $ and$ W^\pm $ and imposed that the W boson decays into quarks to enlarge the branching ratio. The signal and background were generated using MadGraph5 [40] and then linked with Pythia [41] and Delphes [42] for parton shower, hadronization, and detector simulation. To trigger the signal event, we set exactly two W-jets and no leptons in each event, i.e.,$ N^{\ell} = 0,\; \; \; {N^{J} = 2.} $  (1) The W-jet was reconstructed using FastJet [43, 44] according to the anti- $ k_t $ algorithm [45] with radius$ R = 0.8 $ and$ p_ T>200 $ GeV. The N-subjettiness algorithm [46] was used to suppress the QCD background [47]. In addition, the trimming [48], Pruning [49], and SoftDrop [50] techniques were utilized to further groom away soft radiation in the resulting fat jets while also polishing their masses.The invariant masses ( $ m_J $ ) of the reconstructed 2-pronged W-jets were required to be within the mass window of [51]$ m_W-13\; {{\rm{GeV}}} \leqslant m_ J \leqslant m_W + 13\; {{\rm{GeV}}}. $  (2) We ordered the two W-jets by their transverse momentum ( $ p_T $ ) as the leading fat-jet$ J_1 $ and the next-to-leading fat-jet$ J_2 $ . To ensure that the W-jets were boosted and tagged in the central region of the detector, we further imposed large$ p_T $ cuts on the two W-jets as follows:$ p_T^{J_1, J_2}\geqslant 200\; {\rm{GeV}},\; \; \; |\eta^{J_1,J_2}|\leqslant 3, $  (3) where $ \eta^{i} $ denotes the pseudorapidity of the i-th jet. Finally, we imposed hard cuts on the$ {\not\!\! E}_{ T} $ and invariant mass of the two reconstructed W-jets,$ {\not\!\!{ E}}_{ T} \geqslant 400\; {{\rm{GeV}}},\; \; \; m_{J_1J_2}\geqslant 500\; {{\rm{GeV}}}, $  (4) to help extract the signal from the SM background. The signature of interest is not sensitive to the spin of the $ X^\pm $ particle. Figure 2 shows the efficiency of the signal event surviving all the cuts in the plane of$ m_{X^\pm} $ and$ m_{X^0} $ . The contour lines are approximately linear in the region of$ 200\; \lesssim \Delta m \lesssim 800\; {\rm{GeV}} $ as the reconstruction efficiency mainly depends on the mass splitting$ \Delta m $ . Additionally, the efficiency contour is less sensitive to the dark matter mass when$ m_{X^0}\leqslant 200\; {\rm{GeV}} $ for all cases of the three different spins considered here.  Figure 2. (color online) Efficiencies after applying the cuts in the production of the scalar pairs $ S^+S^- $ (a), the fermion pairs$ F^+F^- $ (b) and the vector pairs$ V^+V^- $ (c).The SM backgrounds predominantly arise from the following four sources: 1) the pair production of WW, WZ, and ZZ bosons; 2) $ t\bar{t} $ production; 3) the associated production of a W boson with multiple jets (denoted by W+jets); 4) the associated production of a Z boson with multiple jets (Z+jets). The backgrounds from W+jets, Z+jets and triple gauge boson production are negligible after kinematic cuts. The number of backgrounds at the 14 TeV LHC with an integrated luminosity ($ {\cal{L}} $ ) of 100 fb−1 before and after event reconstruction are as follows:$\begin{array}{*{20}{r}} \hline {}&{t\bar t}&{WW}&{WZ}&{ZZ}\\ {{\rm{Before}}}&{5.5 \times {{10}^7}}&{9.54 \times {{10}^6}}&{4.36 \times {{10}^6}}&{1.25 \times {{10}^6}}\\ {{\rm{After}}}&{96.25}&{19.35}&{50.0}&{6.57}\\ \hline \end{array}$  The $ t\bar{t} $ production dominates owing to its high rate at the LHC. Given the numbers of the backgrounds and the cut efficiencies of the signal event, we can obtain the upper limit of the signal event at the 95% confidence level in terms of$ \sqrt{-2 \left(n_b \ln \frac{n_s + n_b}{n_b}-n_s \right)} = 2.0, $  (5) where $ n_s $ and$ n_b $ are the numbers of signal and backgrounds, respectively.
- 
						
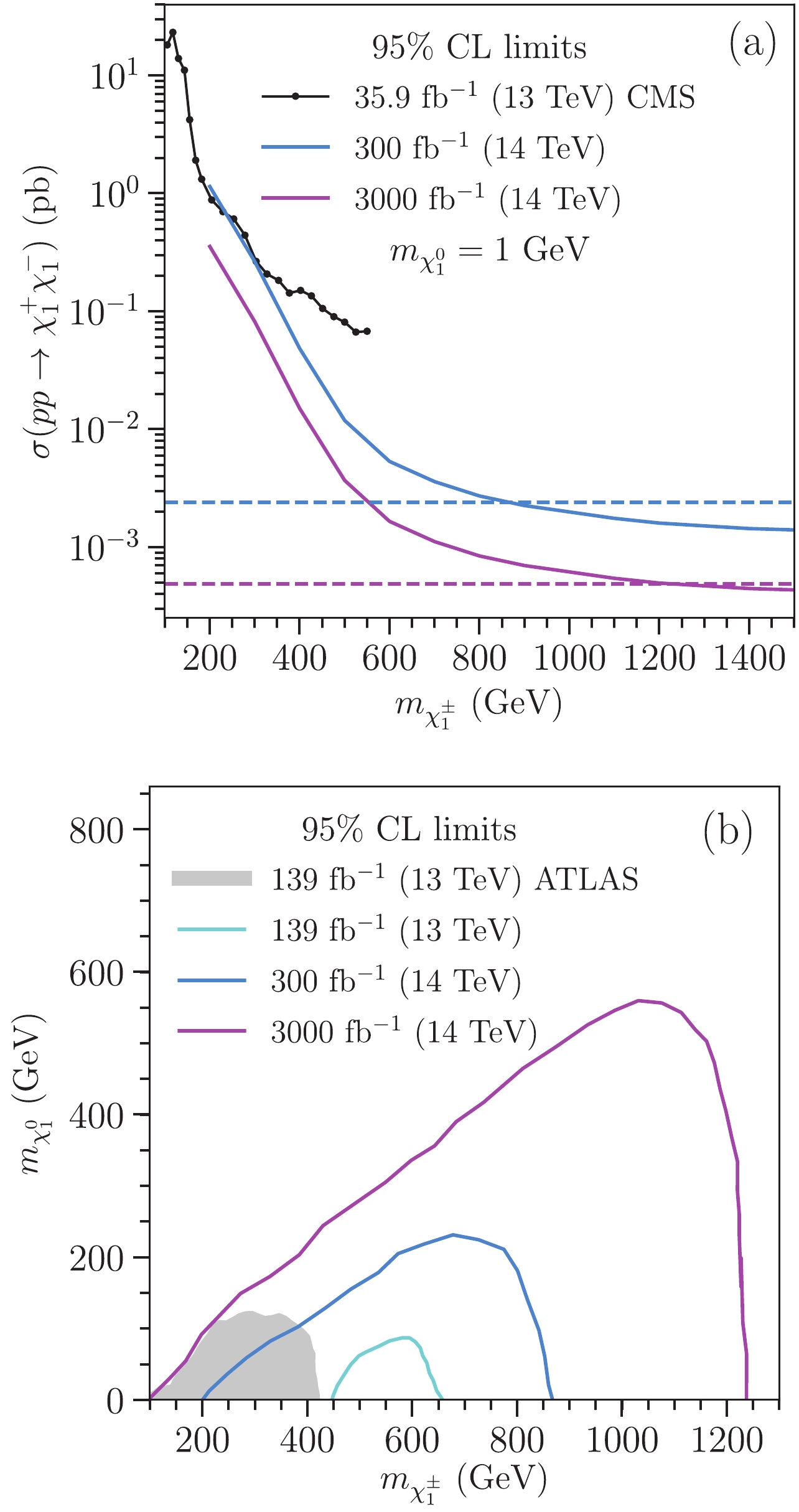
							To demonstrate the power of our method, we considered chargino ( $ \chi_1^\pm $ ) pair production in a simplified supersymmetric extension of the SM in which the$ \chi_1^\pm $ is assumed to decay entirely via the mode of$ \chi_1^\pm \to W^\pm \chi_1^0 $ , i.e., the branching ratio$ {\rm{Br}}(\chi_1^\pm \to W^\pm \chi_1^0) = 1 $ . The neutralino$ \chi_1^0 $ is the DM candidate. In this study, we calculated the cross section of the chargino pair production with the assumption that it is a pure wino.When the mass split between the chargino and neutralino is large, for example $ \Delta m \gtrsim 100\; {{\rm{GeV}}} $ , it yields a signature of multiple leptons plus$ {{\not\!\! E}}_{ T} $ , which has been measured by the ATLAS [26-28] and the CMS collaboration [29, 30]. In the CMS collaboration analysis, the neutralino mass was set to 1 GeV, i.e.,$ m_{\chi_1^0} = 1 $ GeV, in order to obtain an upper bound of$ \sigma(\chi_1^+\chi_1^-) $ as a function of$ m_{\chi^\pm_1} $ at the 13 TeV LHC with$ {\cal{L}} = 35.9\; {\rm{fb}}^{-1} $ [29]; see the black-dotted curve in Fig. 3(a). Following the CMS group, we set$ m_{\chi_1^0} = 1 $ GeV and performed a collider simulation of the signature of the two boosted W-jets and$ {{\not\!\! E}}_{ T} $ . The blue and magenta curves denote the projected upper limit derived from the signature of two W-jets plus$ {\not\!\!{ E}}_{ T} $ at the 14 TeV LHC with$ {\cal{L}} = 300 $ and$ 3000\; {\rm{fb}}^{-1} $ , respectively. The boosted W-jet method efficiently increases the sensitivity in the search for the$ \chi_1^+\chi_1^- $ pair when$ m_{\chi^\pm_1}\geqslant 200\; {\rm{GeV}} $ for two reasons. The first is the strong efficiency of the reconstruction of the boosted W-jets, and the second is the large suppression of the QCD background [52-55]. From Eq. (5) and the event numbers of the backgrounds, we obtained the$ 2\sigma $ bound on the$ \sigma(\chi_1^+\chi_1^-) $ and$ m_{\chi_1^\pm} $ for a massless$ \chi_1^0 $ as follows:  Figure 3. (color online) (a) Upper limits of $ \sigma(\chi_1^+ \chi_1^-) $ as a function of$ m_{\chi_1^\pm} $ at the 95% confidence level at the LHC with an integrated luminosity of$ 300\; {\rm{fb}}^{-1} $ (blue) and$ 3000\; {\rm{fb}}^{-1} $ (magenta) with$ m_{\chi_1^0} = 1 $ GeV and$ {\rm{Br}}(\chi_1^+\to W^+\chi_1^0) = 1 $ . The black dotted curve denotes the current limit obtained from the mode of multiple leptons plus${\not\!\!{ E}}_{ T}$ . (b) Contours of the upper limit of$ \sigma(\chi_1^+\chi_1^-) $ in the plane of$ m_{\chi_1^\pm } $ and$ m_{\chi_1^0} $ .$ \sigma(\chi_1^+\chi_1^-)\leqslant 2.4\; {\rm{fb}}, \;\;\;\;\;\; m_{\chi_1^\pm}> 870\; {\rm{GeV}}, $  with $ {\cal{L}} = 300\; {\rm{fb}}^{-1} $ and$ \sigma(\chi_1^+\chi_1^-)\leqslant 0.48\; {\rm{fb}}, \;\;\;\;\;\; m_{\chi_1^\pm}> 1240\; {\rm{GeV}}, $  with $ {\cal{L}} = 3000\; {\rm{fb}}^{-1} $ ; see the blue and magenta dashed horizontal lines.The results of a massive $ \chi^0_1 $ are shown in Fig. 3(b), which plots the excluded regions in the plane of$ m_{\chi_1^\pm} $ and$ m_{\chi_1^0} $ at the 95% confidence level. The gray region is excluded in the signal signature of multi-leptons plus$ {\not\!\!{ E}}_{ T} $ at the 13 TeV LHC with an integrated luminosity of 139 fb−1 [27]. The region under the cyan curve is excluded by our method at the 13 TeV LHC with an integrated luminosity of 139 fb−1. Clearly, our method works better in the region of heavy$ \chi_1^\pm $ with a large mass split,$ \Delta m $ . The region under the blue curve is excluded at the 14 TeV LHC with an integrated luminosity of 300 fb−1. The efficiency of the W-jet reconstruction increased with$ \Delta m = m_{\chi_1^\pm}-m_{\chi_1^0} $ , and the production rate of$ \chi_1^+\chi_1^- $ pairs decreased rapidly with$ m_{\chi_1^+} $ . The two effects compete with each other and here yielded a peak around$ m_{\chi_1^+}\sim 700\; {\rm{GeV}} $ ; see the blue curve. Accumulating 10 times more data, i.e., increasing the integrated luminosity to$ 3000\; {\rm{fb}}^{-1} $ , the peak position was shifted to$ m_{\chi_1^\pm}\sim 1100\; {\rm{GeV}} $ . It is evident that the signature of two W-jets plus$ {{\not\!\! E}}_{ T} $ is a better method than the conventional mode of multiple leptons plus$ {\not\!\!{ E}}_{ T} $ ; the magenta curve covers a vast parameter space including the gray region. Therefore, we recommend that the signature of the two W-jets plus$ {{\not\!\! E}}_{ T} $ should be used to search for a heavy resonance.
- 
						
							In this study, we explored the potential of searching for the dark matter candidate $ X^0 $ through the pair production of heavy charged resonance$ X^\pm $ , which predominantly decays into a pair of$ W^\pm $ and$ X^0 $ , i.e.,$ pp\to X^+X^-\to $ $ W^+W^-X^0X^0 $ . To achieve more signal events, we imposed that the W boson only decays into a pair of quarks. When the mass split between$ X^\pm $ and$ X^0 $ is large, say$ \Delta m = m_{X^\pm} - m_{X^0}\gg m_W $ , the W boson is boosted such that the jet-substructure method is required to increase the efficiency of the event reconstruction. The collider signature of interest is that of two boosted W-jets plus$ {\not\!\!{ E}}_{ T} $ , which originates from the two invisible dark matter candidates. We demonstrated that the signature is not sensitive to the spin of heavy charged resonance$ X^\pm $ and the efficiency of event reconstruction mainly depends on$ \Delta m $ . Our method may be used in the search for various new physics resonances if they decay into a pair of W bosons and the dark matter candidate.For further illustration, we considered the process of chargino pair production in a simplified supersymmetric extension of the SM, i.e., $ pp\to \chi_1^+\chi_1^-\to \chi_1^0\chi_1^0 W^+ W^- $ . Our collider simulation showed that the signature of$ W_JW_J {\not\!\!{ E}}_{ T} $ is a better method than the conventional mode of multiple leptons plus$ {{\not\!\! E}}_{ T} $ at the LHC, especially in the region of$ 200\leqslant m_{\chi^\pm_1} -m_{\chi_1^0 }\leqslant 800\; {\rm{GeV}} $ .
New physics and two boosted W-jets plus missing energy
- Received Date: 2021-05-21
- Available Online: 2021-09-15
Abstract: We show that the signature of two boosted W-jets plus substantial missing energy is very promising for probing heavy charged resonances (





 
			                     Abstract
Abstract HTML
HTML Reference
Reference Related
Related PDF
PDF





 
	                    
 
	                                                 
						











 DownLoad:
DownLoad: