Recent
Display Method:
2026 No.5
2026 No.6
2026 No.
2026, 50(5): 055102. doi: 10.1088/1674-1137/ae3db5
Abstract:
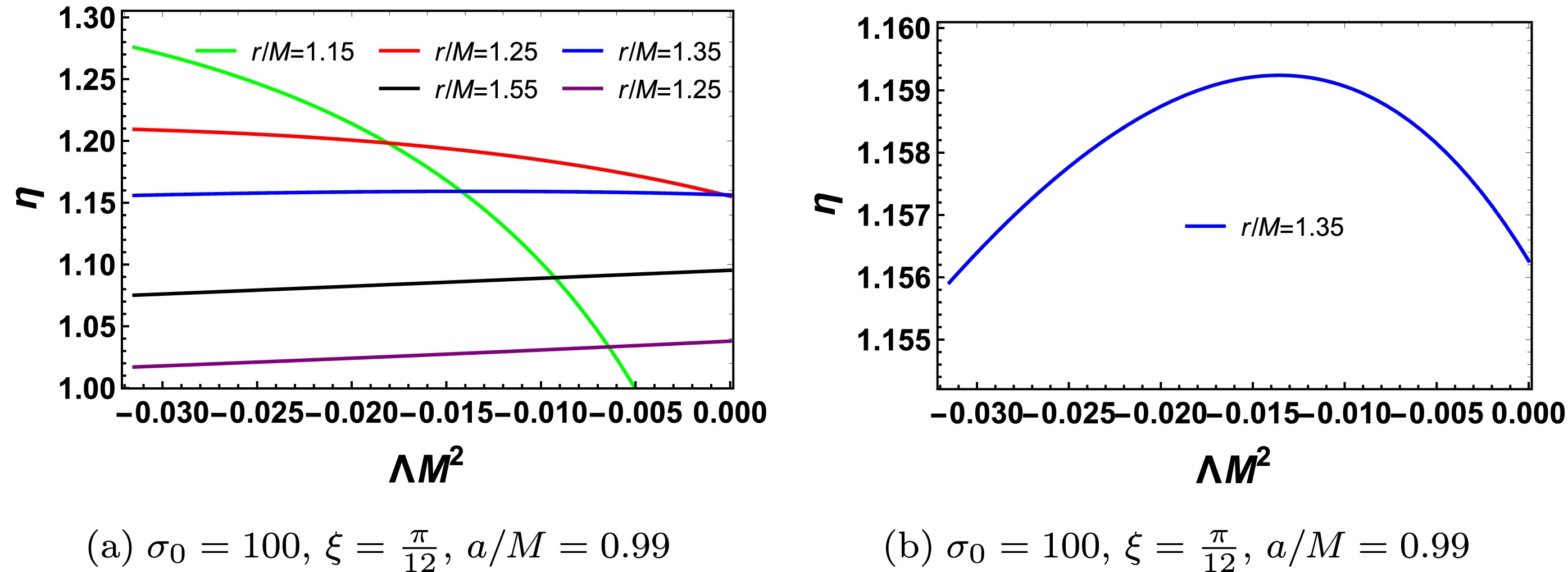
In this study, we examine the energy extraction from Kerr-AdS black holes following the magnetic reconnection process. The parameter space regions that satisfy the energy extraction condition, as well as the efficiency and power of the extracted energy, are analyzed. This study shows that the presence of a negative cosmological constant extends the range of dominant reconnection radial locations where the energy extraction condition is met and enables energy extraction, even from black holes with relatively low spin. Furthermore, the influence of the negative cosmological constant on energy extraction is modulated by the extent of the dominant reconnection radial region: a more negative cosmological constant enhances the extracted energy, efficiency, and power, particularly for smaller dominant reconnection radii. These results demonstrate that the energy extraction from Kerr-AdS black holes is more favorable than that from their asymptotically flat counterparts. Our results highlight the crucial role of the cosmological constant in energy extraction via magnetic reconnection.
In this study, we examine the energy extraction from Kerr-AdS black holes following the magnetic reconnection process. The parameter space regions that satisfy the energy extraction condition, as well as the efficiency and power of the extracted energy, are analyzed. This study shows that the presence of a negative cosmological constant extends the range of dominant reconnection radial locations where the energy extraction condition is met and enables energy extraction, even from black holes with relatively low spin. Furthermore, the influence of the negative cosmological constant on energy extraction is modulated by the extent of the dominant reconnection radial region: a more negative cosmological constant enhances the extracted energy, efficiency, and power, particularly for smaller dominant reconnection radii. These results demonstrate that the energy extraction from Kerr-AdS black holes is more favorable than that from their asymptotically flat counterparts. Our results highlight the crucial role of the cosmological constant in energy extraction via magnetic reconnection.
2026, 50(5): 055101. doi: 10.1088/1674-1137/ae3db6
Abstract:
This study investigates the imaging properties, photon-ring structure, and polarization signatures of rotating Hayward black holes, endowed with magnetic charges. We first derive the null geodesic and polarization parallel-transport equations in the rotating Hayward spacetime and cast them into a unified system of first-order differential equations suitable for numerical ray tracing. Using a fisheye camera model, together with an angular normalization scheme, we generate black hole images illuminated by both a spherical emission source and prograde/retrograde optically thin accretion disks to analyze the resulting redshift distribution and strong gravitational lensing features. By incorporating a set of representative magnetic-field configurations—including radial, polar, toroidal, and helical geometries—we compute the corresponding polarization maps and reveal how magnetic-field structure, black-hole spin, and magnetic charge shape the electric-vector position angle and polarization intensity. Our results show that magnetic charge induces a pronounced “D-shaped” distortion of the black hole shadow and enhances the polarization structure of the photon ring. We further observe that rotating Hayward black holes exhibit observable differences from Kerr black holes in their shadow morphology, photon-ring profiles, and polarization patterns. These findings offer theoretical predictions for future ground- and space-based interferometric observations and provide potential observational diagnostics for distinguishing between conventional Kerr and regular black hole models.
This study investigates the imaging properties, photon-ring structure, and polarization signatures of rotating Hayward black holes, endowed with magnetic charges. We first derive the null geodesic and polarization parallel-transport equations in the rotating Hayward spacetime and cast them into a unified system of first-order differential equations suitable for numerical ray tracing. Using a fisheye camera model, together with an angular normalization scheme, we generate black hole images illuminated by both a spherical emission source and prograde/retrograde optically thin accretion disks to analyze the resulting redshift distribution and strong gravitational lensing features. By incorporating a set of representative magnetic-field configurations—including radial, polar, toroidal, and helical geometries—we compute the corresponding polarization maps and reveal how magnetic-field structure, black-hole spin, and magnetic charge shape the electric-vector position angle and polarization intensity. Our results show that magnetic charge induces a pronounced “D-shaped” distortion of the black hole shadow and enhances the polarization structure of the photon ring. We further observe that rotating Hayward black holes exhibit observable differences from Kerr black holes in their shadow morphology, photon-ring profiles, and polarization patterns. These findings offer theoretical predictions for future ground- and space-based interferometric observations and provide potential observational diagnostics for distinguishing between conventional Kerr and regular black hole models.
2026, 50(6): 1-13. doi: 10.1088/1674-1137/ae5806
Abstract:
Recent measurements from the Atacama Cosmology Telescope (ACT) indicate a preference for a slightly bluer scalar spectral index compared to Planck-only analyses, placing canonical inflationary models in General Relativity (GR) under mild pressure. We demonstrate that f(T) gravity systematically accommodates these dataset-dependent preferences by suppressing the tensor-to-scalar ratio in monomial and hilltop potentials, and by shifting the spectral index of E-models toward the ACT-favored region. Incorporating Big Bang Nucleosynthesis bounds, we break the degeneracy between the inflationary e-folding number and the post-inflationary thermal history. A direct side-by-side comparison reveals that reconciling models such as the Starobinsky potential with ACT data in GR strictly necessitates a non-standard, stiff (kinetic-dominated) reheating phase. In contrast, torsional corrections in f(T) gravity significantly enlarge the viable parameter space, relaxing these stringent phenomenological requirements and establishing a coherent framework that jointly constrains CMB observables and reheating dynamics.
Recent measurements from the Atacama Cosmology Telescope (ACT) indicate a preference for a slightly bluer scalar spectral index compared to Planck-only analyses, placing canonical inflationary models in General Relativity (GR) under mild pressure. We demonstrate that f(T) gravity systematically accommodates these dataset-dependent preferences by suppressing the tensor-to-scalar ratio in monomial and hilltop potentials, and by shifting the spectral index of E-models toward the ACT-favored region. Incorporating Big Bang Nucleosynthesis bounds, we break the degeneracy between the inflationary e-folding number and the post-inflationary thermal history. A direct side-by-side comparison reveals that reconciling models such as the Starobinsky potential with ACT data in GR strictly necessitates a non-standard, stiff (kinetic-dominated) reheating phase. In contrast, torsional corrections in f(T) gravity significantly enlarge the viable parameter space, relaxing these stringent phenomenological requirements and establishing a coherent framework that jointly constrains CMB observables and reheating dynamics.
2026, 50(5): 055103. doi: 10.1088/1674-1137/ae3e5a
Abstract:
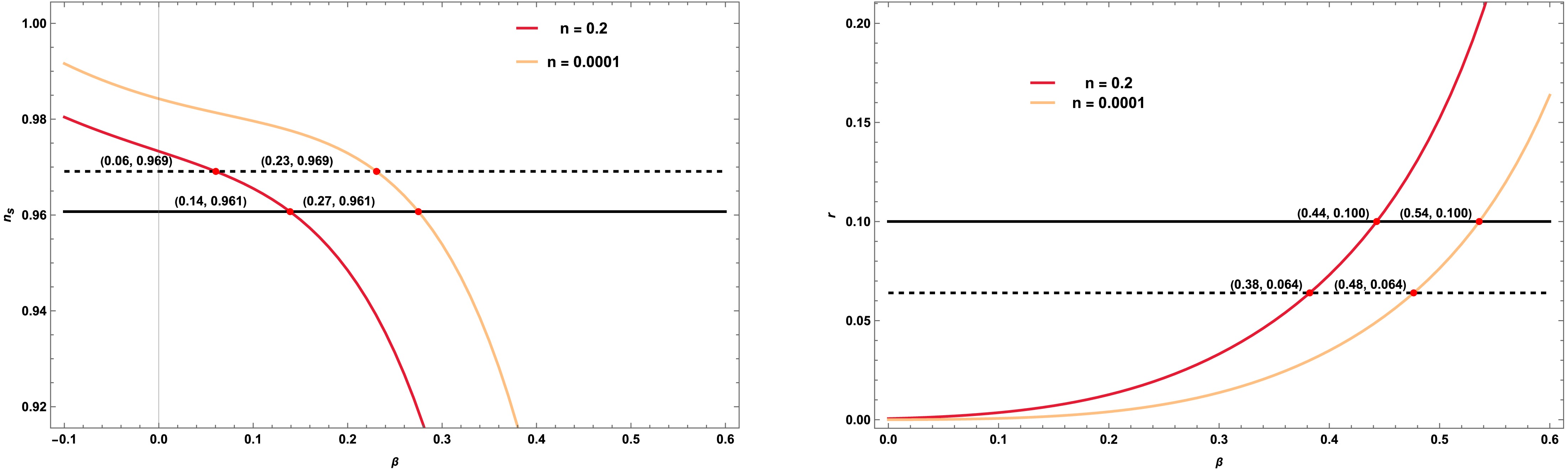
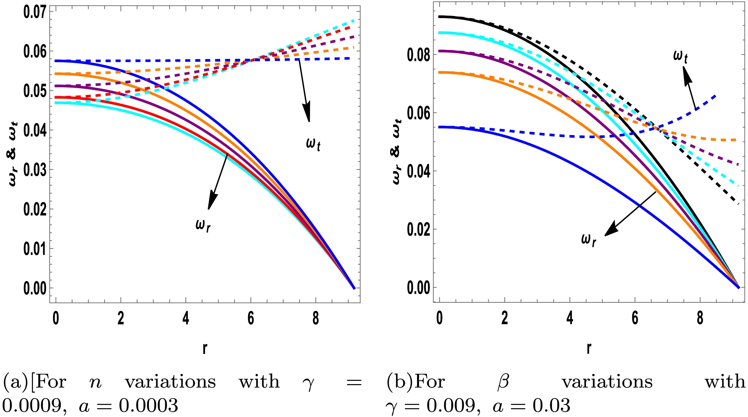
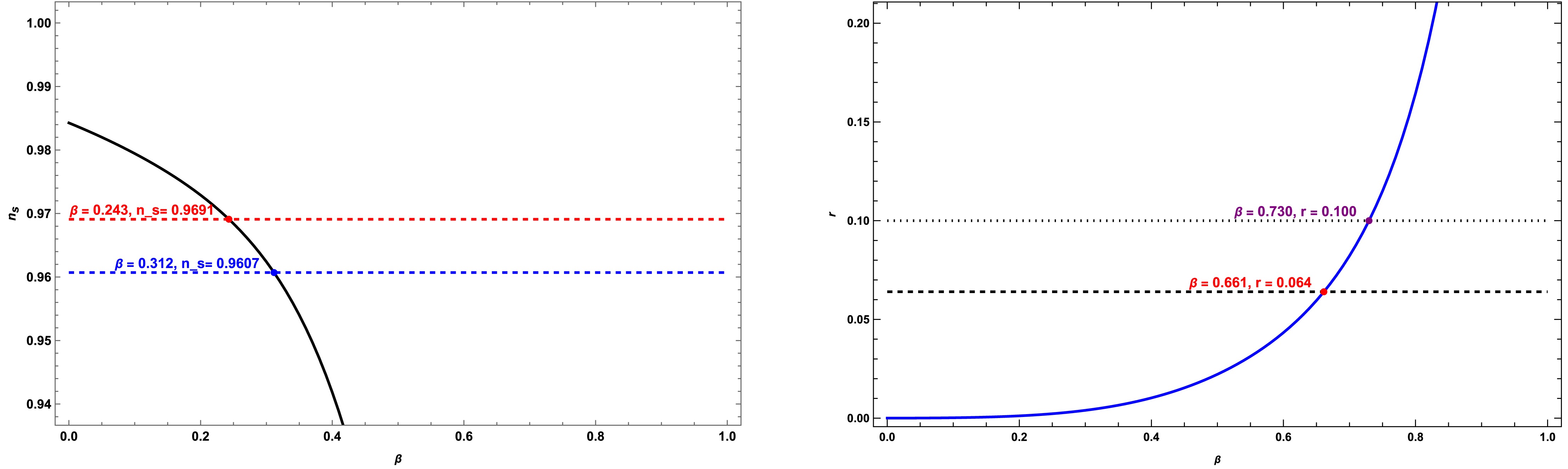
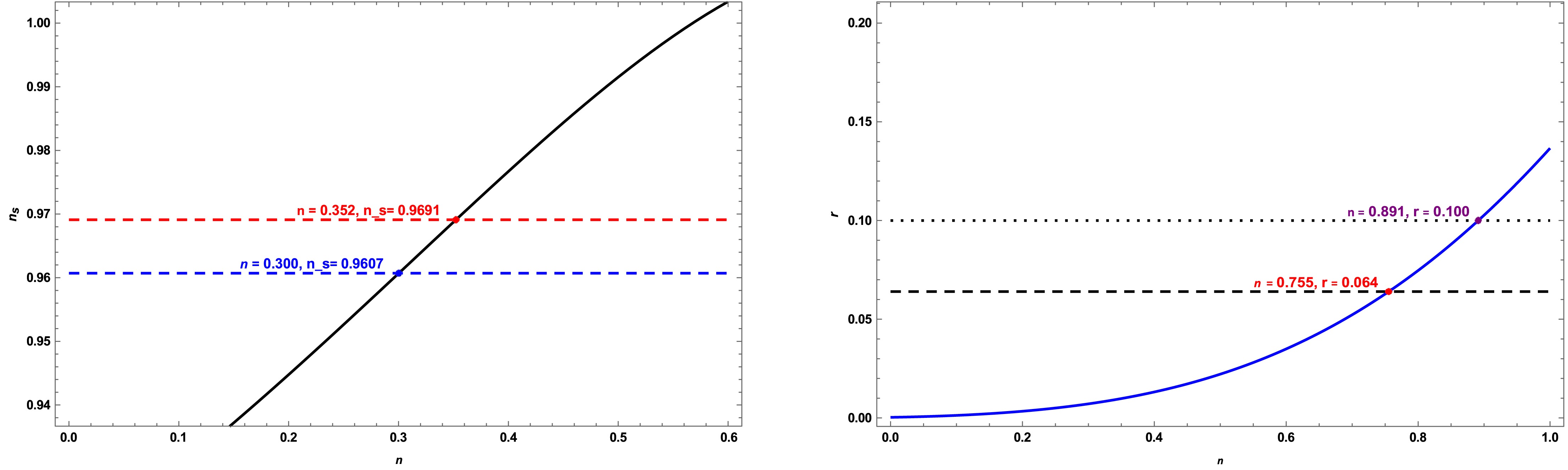
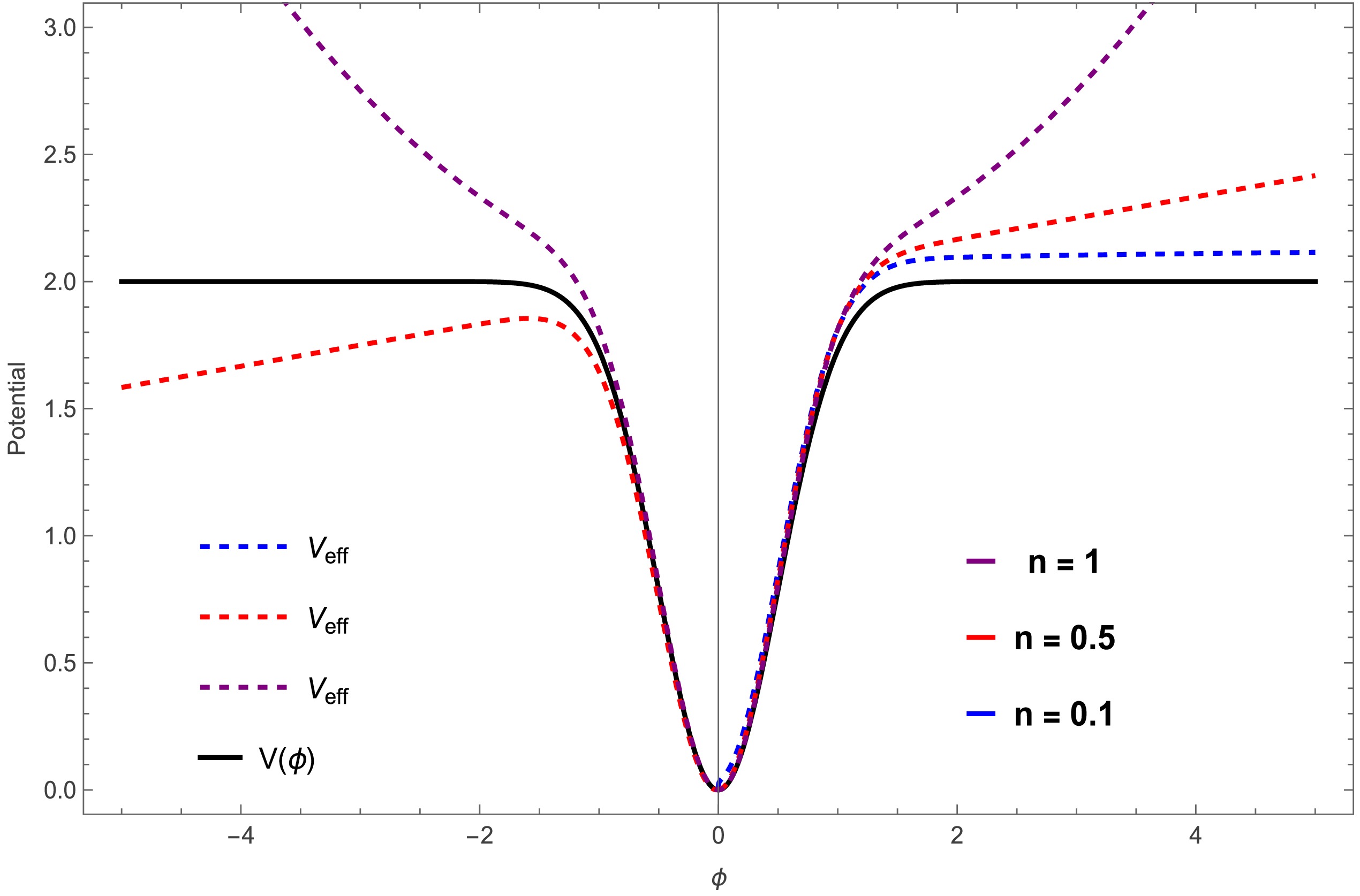
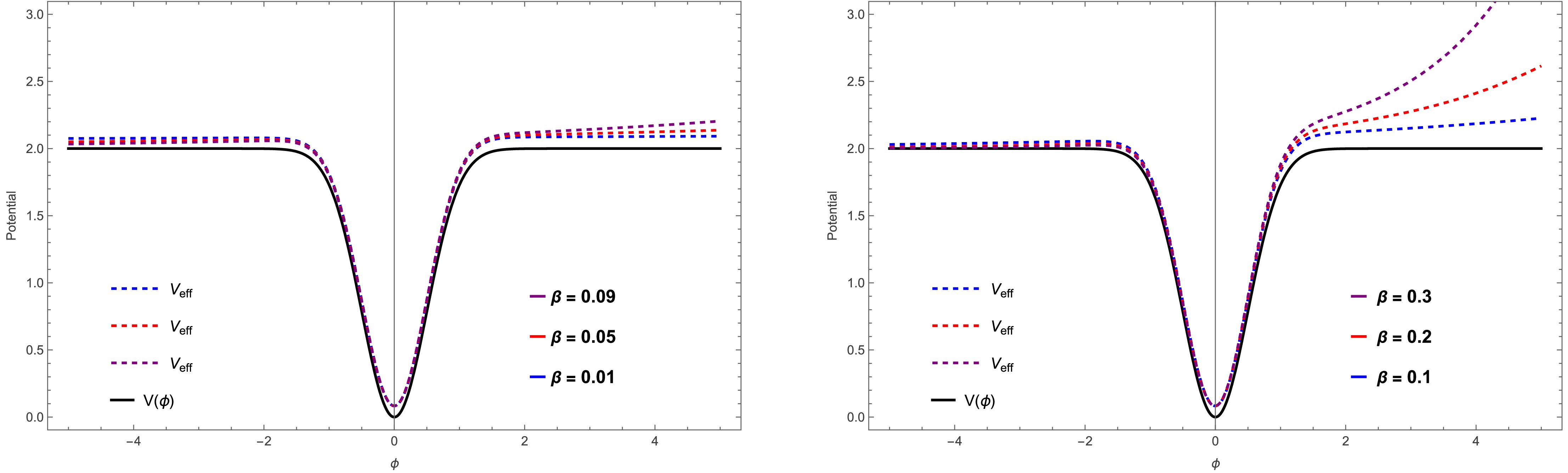
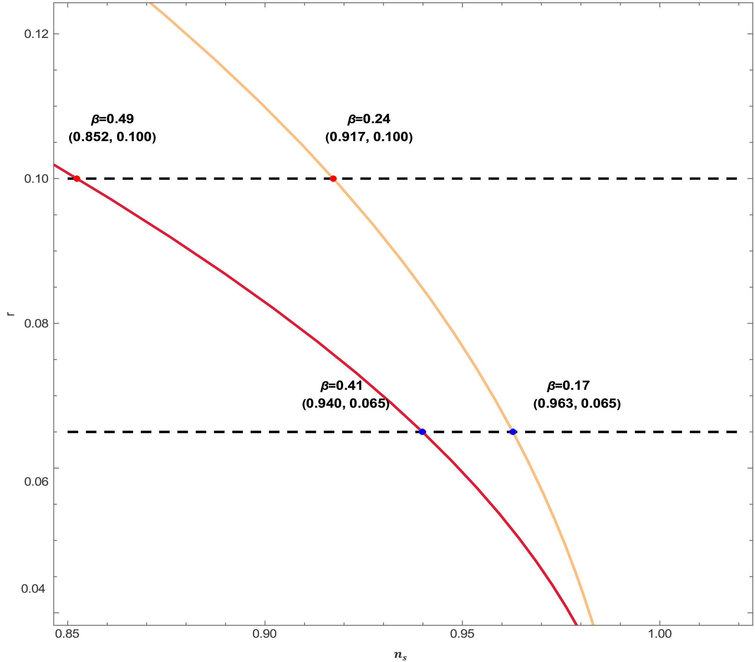
We investigate warm inflation in the framework of $f(Q)$ gravity within a Friedmann-Robertson-Walker spacetime. Unlike cold inflation, where the inflaton evolves in isolation, warm inflation features continuous interaction between the inflaton field and radiation throughout the inflationary epoch, facilitating energy transfer through dissipative processes and maintaining thermal equilibrium. In our novel approach, we employ $f(Q)$ dark energy as the driving mechanism for warm inflation, leveraging the geometric degrees of freedom associated with non-metricity as dynamical variables. We derive the field equations using slow-roll approximations and analyze two specific $f(Q)$ models: a power-law form $f(Q) = Q + mQ^n$ and logarithmic form $f(Q) = mQ\ln(nQ)$. Our analysis focuses on the high-dissipative regime, where thermal fluctuations dominate over quantum fluctuations. We compute key inflationary observables, including the scalar spectral index $n_s$, tensor-to-scalar ratio $r$, and slow-roll parameters. Our results demonstrate that $f(Q)$ dark energy successfully drives warm inflation while satisfying essential physical conditions: initial dominance of $f(Q)$ energy density over radiation density, and thermal fluctuations exceeding quantum fluctuations ($T \gt H$). As inflation progresses, energy transfers from the geometric $f(Q)$ sector to radiation, eventually bringing both densities to comparable levels near inflation's end. Importantly, our computed values align well with current observational constraints from Planck and BICEP/Keck: $n_s = 0.965 \pm 0.004$ and $r \lt 0.036$. This validates the viability of warm inflation in $f(Q)$ gravity and establishes a unified geometric framework for understanding both early universe inflation and late-time cosmic acceleration.
We investigate warm inflation in the framework of $f(Q)$ gravity within a Friedmann-Robertson-Walker spacetime. Unlike cold inflation, where the inflaton evolves in isolation, warm inflation features continuous interaction between the inflaton field and radiation throughout the inflationary epoch, facilitating energy transfer through dissipative processes and maintaining thermal equilibrium. In our novel approach, we employ $f(Q)$ dark energy as the driving mechanism for warm inflation, leveraging the geometric degrees of freedom associated with non-metricity as dynamical variables. We derive the field equations using slow-roll approximations and analyze two specific $f(Q)$ models: a power-law form $f(Q) = Q + mQ^n$ and logarithmic form $f(Q) = mQ\ln(nQ)$. Our analysis focuses on the high-dissipative regime, where thermal fluctuations dominate over quantum fluctuations. We compute key inflationary observables, including the scalar spectral index $n_s$, tensor-to-scalar ratio $r$, and slow-roll parameters. Our results demonstrate that $f(Q)$ dark energy successfully drives warm inflation while satisfying essential physical conditions: initial dominance of $f(Q)$ energy density over radiation density, and thermal fluctuations exceeding quantum fluctuations ($T \gt H$). As inflation progresses, energy transfers from the geometric $f(Q)$ sector to radiation, eventually bringing both densities to comparable levels near inflation's end. Importantly, our computed values align well with current observational constraints from Planck and BICEP/Keck: $n_s = 0.965 \pm 0.004$ and $r \lt 0.036$. This validates the viability of warm inflation in $f(Q)$ gravity and establishes a unified geometric framework for understanding both early universe inflation and late-time cosmic acceleration.
2026, 50(5): 055106. doi: 10.1088/1674-1137/ae432b
Abstract:
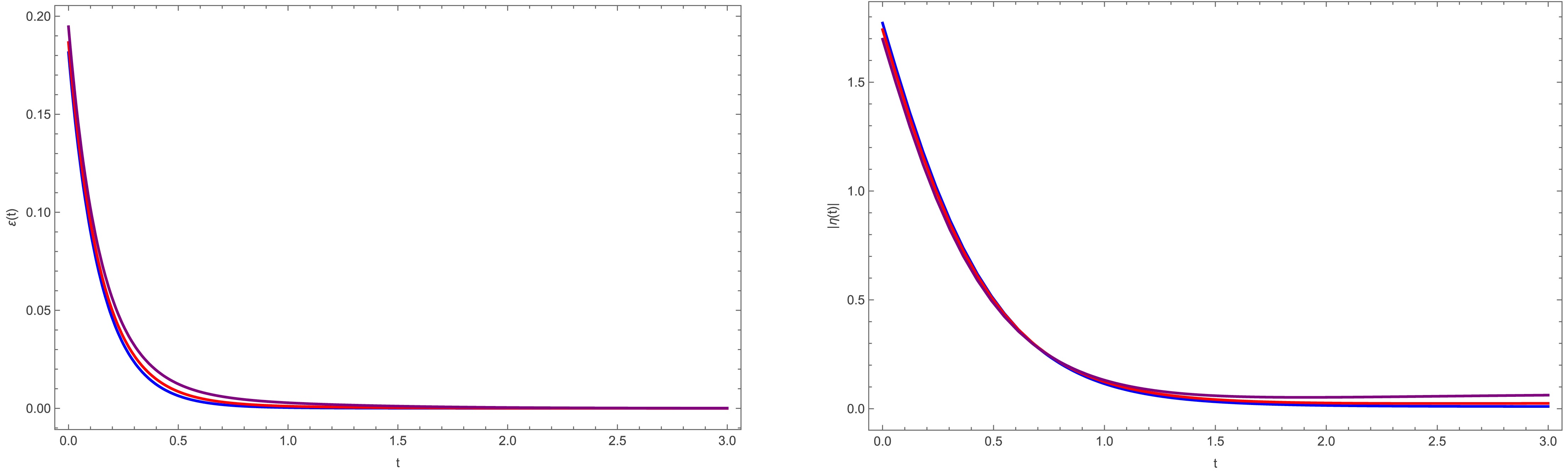
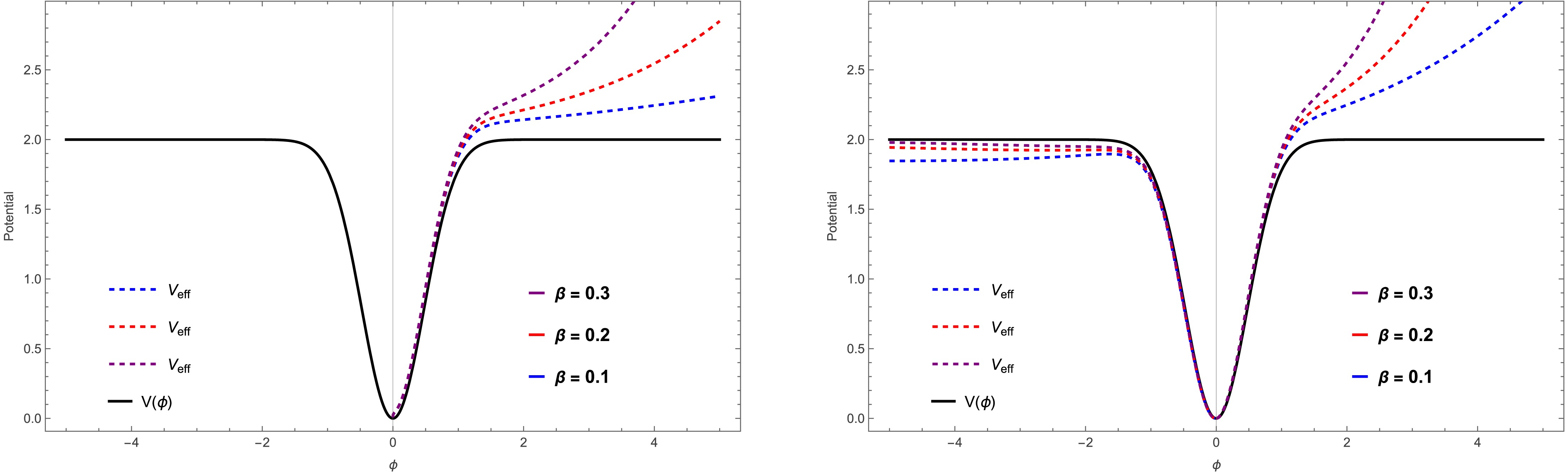
We propose a cosmological framework in which neutrino masses evolve dynamically through coupling with a scalar field that simultaneously drives inflation. The neutrino mass is modeled as a power-law, exponential, or hybrid function of the scalar field, yielding an effective potential that includes neutrino backreaction. Starting from the Einstein–Hilbert action in a flat FLRW background, we derive the modified Friedmann and Klein–Gordon equations incorporating this coupling. Using the Fermi–Dirac integrals, we account for the continuous transition of neutrinos from relativistic to nonrelativistic regimes. The inflationary dynamics are investigated through the slow-roll parameters derived from the effective potential, together with the evaluation of the scalar spectral index $ n_s $, and the tensor-to-scalar ratio r for each model. The exponential and mixed MaVaN couplings emerge as the most flexible cases, allowing inflationary dynamics and neutrino mass variation to be accommodated within a single scalar field, only in a constrained region of the parameter space.
We propose a cosmological framework in which neutrino masses evolve dynamically through coupling with a scalar field that simultaneously drives inflation. The neutrino mass is modeled as a power-law, exponential, or hybrid function of the scalar field, yielding an effective potential that includes neutrino backreaction. Starting from the Einstein–Hilbert action in a flat FLRW background, we derive the modified Friedmann and Klein–Gordon equations incorporating this coupling. Using the Fermi–Dirac integrals, we account for the continuous transition of neutrinos from relativistic to nonrelativistic regimes. The inflationary dynamics are investigated through the slow-roll parameters derived from the effective potential, together with the evaluation of the scalar spectral index $ n_s $, and the tensor-to-scalar ratio r for each model. The exponential and mixed MaVaN couplings emerge as the most flexible cases, allowing inflationary dynamics and neutrino mass variation to be accommodated within a single scalar field, only in a constrained region of the parameter space.
2026, 50(5): 055104. doi: 10.1088/1674-1137/ae418a
Abstract:
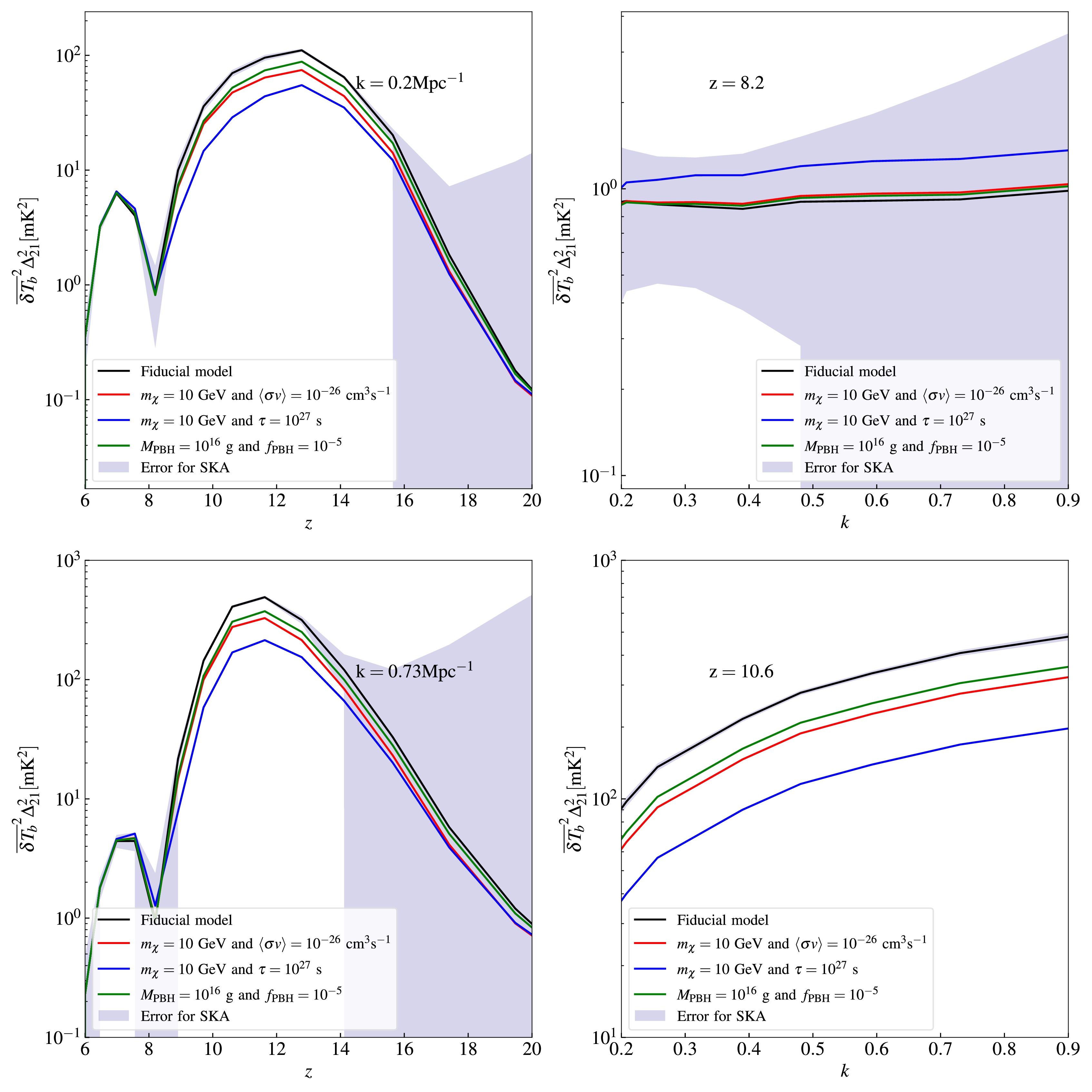
In June 2023, multiple pulsar timing array (PTA) collaborations provided evidence for the existence of a stochastic gravitational-wave background (SGWB). As a significant source of the SGWB, scalar-induced gravitational waves (SIGWs) receive extensive attention. We explore the influence of anisotropic primordial power spectra on second-order SIGWs and derive explicit expressions for the energy density spectra. For specific anisotropic inflation models, we analyze the impact of Finslerian inflation and gauge field inflation models on PTAs and the Laser Interferometer Space Antenna and generalize the findings to model-independent scenarios. Our results indicate that current PTA observations cannot rule out the existence of small-scale anisotropic primordial perturbations.
In June 2023, multiple pulsar timing array (PTA) collaborations provided evidence for the existence of a stochastic gravitational-wave background (SGWB). As a significant source of the SGWB, scalar-induced gravitational waves (SIGWs) receive extensive attention. We explore the influence of anisotropic primordial power spectra on second-order SIGWs and derive explicit expressions for the energy density spectra. For specific anisotropic inflation models, we analyze the impact of Finslerian inflation and gauge field inflation models on PTAs and the Laser Interferometer Space Antenna and generalize the findings to model-independent scenarios. Our results indicate that current PTA observations cannot rule out the existence of small-scale anisotropic primordial perturbations.
2026, 50(5): 055105. doi: 10.1088/1674-1137/ae4190
Abstract:
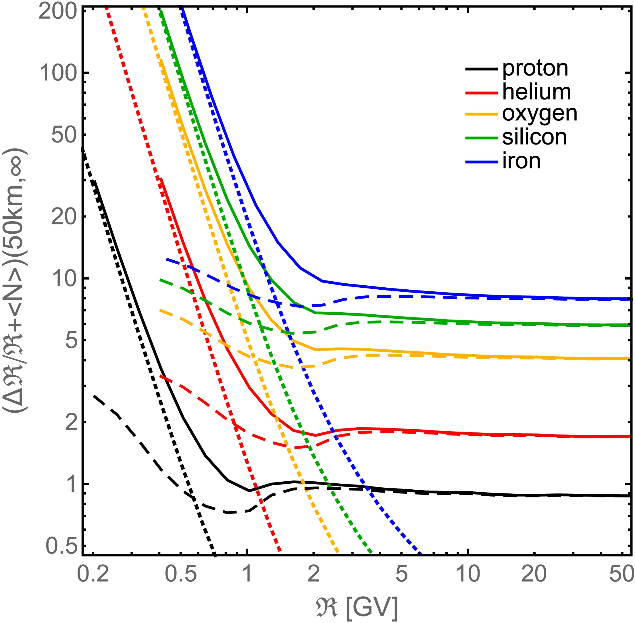
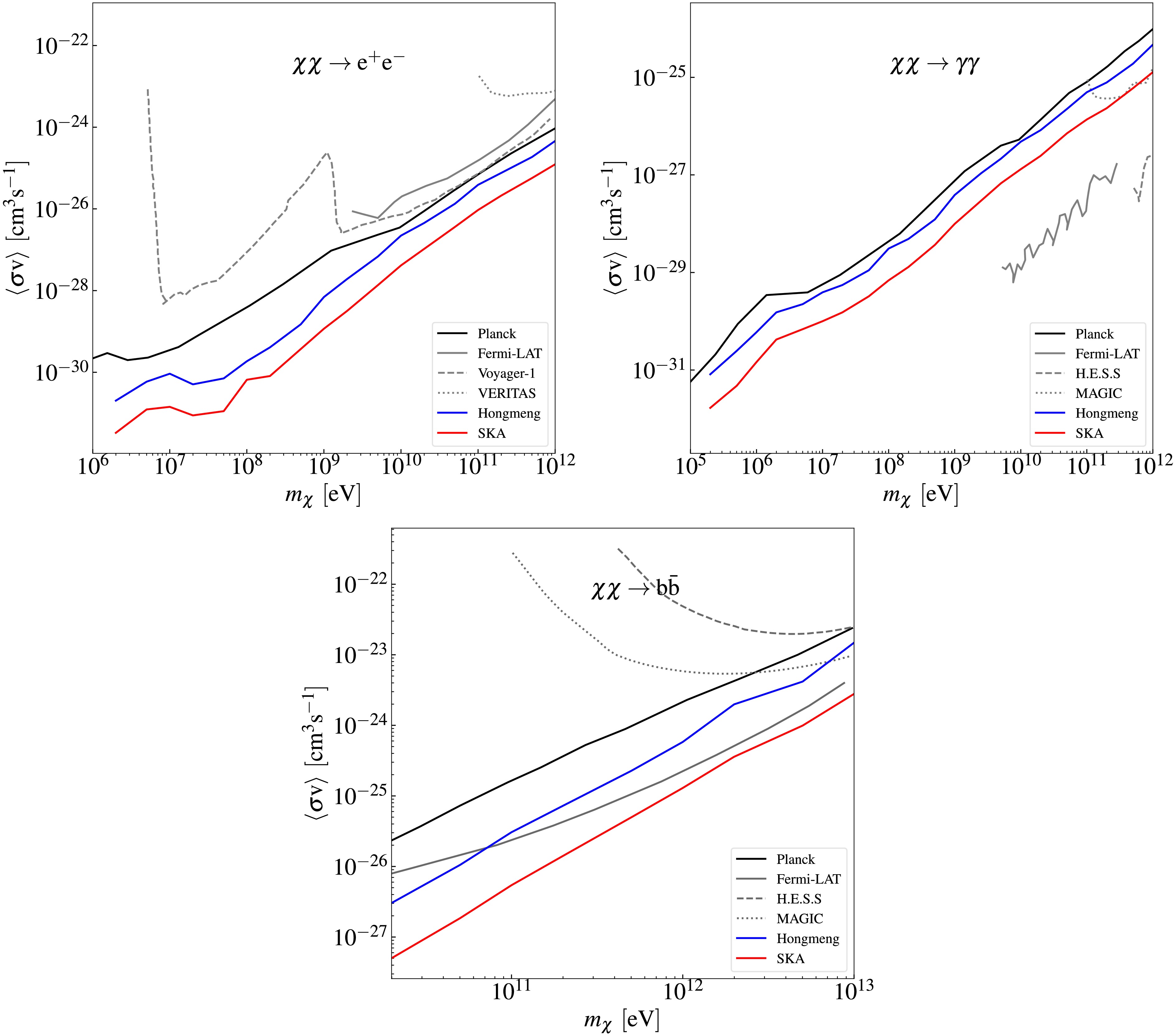
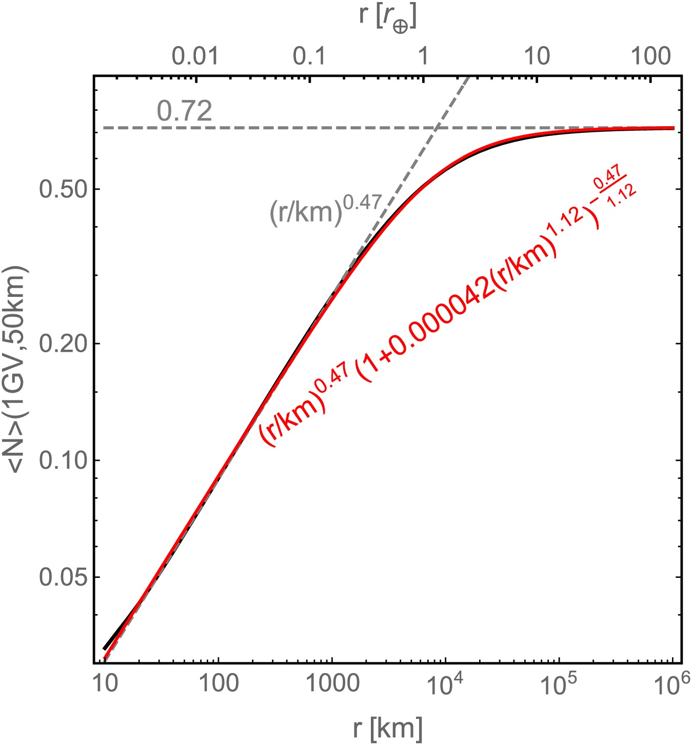
Backtracing simulations are widely employed to determine cosmic-ray particle trajectories in a geomagnetic field; in these simulations, the atmosphere is approximated as an artificial sharp boundary at a low altitude where the traced trajectory terminates. In this paper, we move beyond this simplified assumption and investigate two realistic physical processes that terminate cosmic-ray particle propagation in the atmosphere: Bethe-Bloch energy loss mechanisms and hard scattering interactions with atmospheric atoms using total cross-sections based on the Glauber-Gribov formalism. The former mechanism dominates at low rigidities (for protons below $ \sim0.57 $ GV), while the latter becomes dominant at higher rigidities. Consequently, we introduce two dimensionless variables to establish detailed numerical criteria: the relative rigidity shift caused by Bethe-Bloch effects ($ \Delta\mathfrak{R}/\mathfrak{R} $) and the expected number of hard scattering events ($ \langle N\rangle $). Using the corrected US Standard Atmosphere 1976 model, we demonstrate that altitude dependence can be factorized as approximately $ \exp(-0.14{\rm h}/{\rm km}) $. In addition, the effect of the local curvature radius of the trajectory near perigee can be factorized in a similar manner. Our calculations demonstrate that the simplified sharp-boundary altitude should be at least 50 km with $ \Delta\mathfrak{R}/\mathfrak{R}+\langle N\rangle\lesssim1 $ for protons, increasing by more than 15 km for heavy nuclei such as iron.
Backtracing simulations are widely employed to determine cosmic-ray particle trajectories in a geomagnetic field; in these simulations, the atmosphere is approximated as an artificial sharp boundary at a low altitude where the traced trajectory terminates. In this paper, we move beyond this simplified assumption and investigate two realistic physical processes that terminate cosmic-ray particle propagation in the atmosphere: Bethe-Bloch energy loss mechanisms and hard scattering interactions with atmospheric atoms using total cross-sections based on the Glauber-Gribov formalism. The former mechanism dominates at low rigidities (for protons below $ \sim0.57 $ GV), while the latter becomes dominant at higher rigidities. Consequently, we introduce two dimensionless variables to establish detailed numerical criteria: the relative rigidity shift caused by Bethe-Bloch effects ($ \Delta\mathfrak{R}/\mathfrak{R} $) and the expected number of hard scattering events ($ \langle N\rangle $). Using the corrected US Standard Atmosphere 1976 model, we demonstrate that altitude dependence can be factorized as approximately $ \exp(-0.14{\rm h}/{\rm km}) $. In addition, the effect of the local curvature radius of the trajectory near perigee can be factorized in a similar manner. Our calculations demonstrate that the simplified sharp-boundary altitude should be at least 50 km with $ \Delta\mathfrak{R}/\mathfrak{R}+\langle N\rangle\lesssim1 $ for protons, increasing by more than 15 km for heavy nuclei such as iron.
2026, 50(5): 054103. doi: 10.1088/1674-1137/ae3376
Abstract:
We investigate the role of nuclear fission fragment yield distributions in shaping r-process nucleosynthesis within the low-entropy environment of neutron-star-merger ejecta. Our results demonstrate that post-freeze-out fission fragment yields play a critical role in determining the abundance pattern of the second r-process peak and its right shoulder ($ 130 \lt A \lt 170$), even though most fission cycles occur before the r-process freeze-out. This study employs the semi-empirical General Fission (GEF) model to systematically characterize fission properties.
We investigate the role of nuclear fission fragment yield distributions in shaping r-process nucleosynthesis within the low-entropy environment of neutron-star-merger ejecta. Our results demonstrate that post-freeze-out fission fragment yields play a critical role in determining the abundance pattern of the second r-process peak and its right shoulder ($ 130 \lt A \lt 170$), even though most fission cycles occur before the r-process freeze-out. This study employs the semi-empirical General Fission (GEF) model to systematically characterize fission properties.
2026, 50(5): 054001. doi: 10.1088/1674-1137/ae38c4
Abstract:
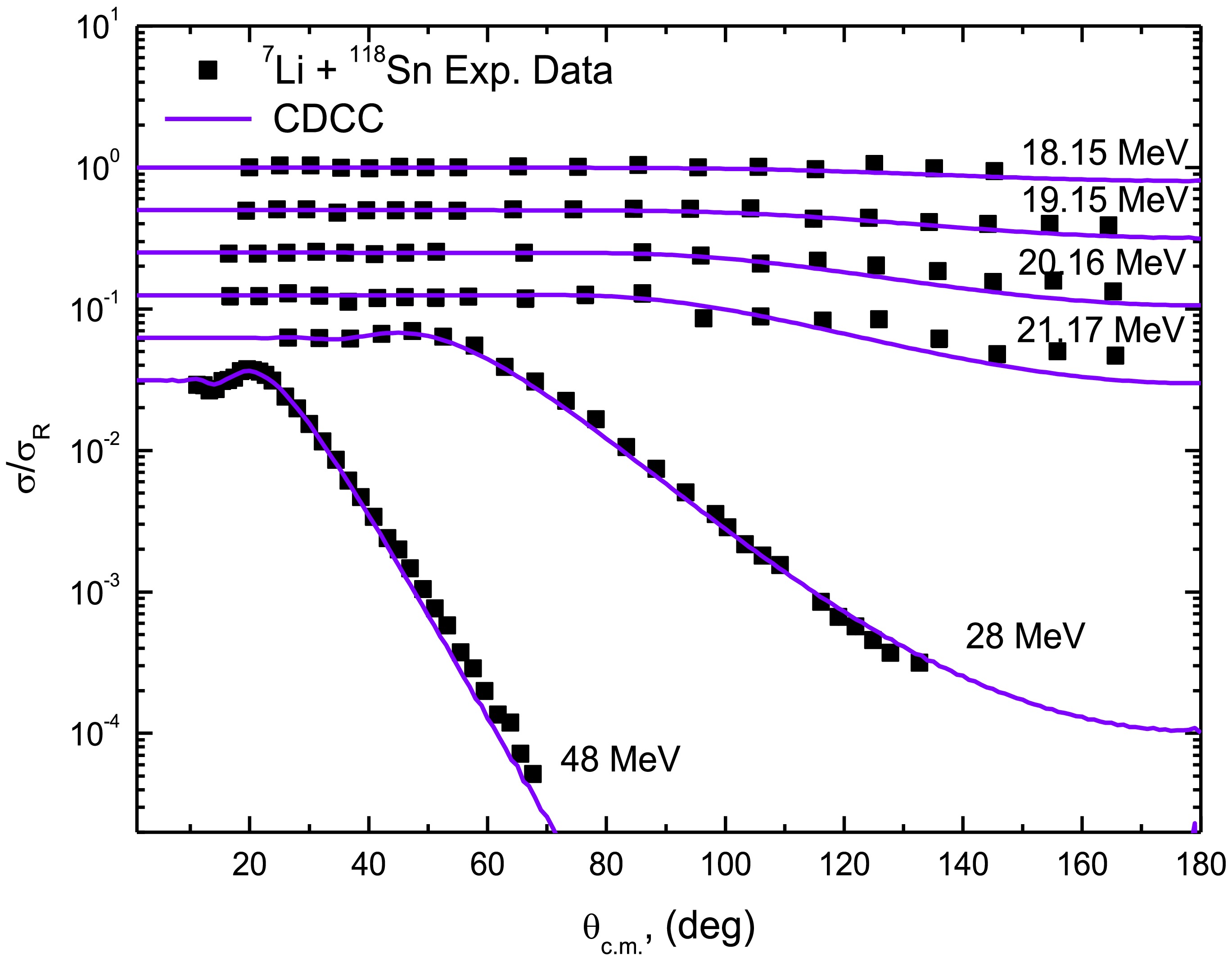
High-spin states of 117In are studied through the incomplete fusion reaction induced by 7Li with 116Cd. A total of 19 new levels and 22 new transitions are observed. A pair of signature partner bands with the $ \pi (g_{7/2},d_{5/2})$ configuration is identified. The single-particle states are described through shell-model calculations. The dipole band with the configuration of $ \pi g_{9/2}^{-1} \otimes \nu (h_{11/2})^2$ is proposed as a ''stapler'' band based on the calculations of tilted axis cranking covariant density functional theory. The ''stapler'' mechanism in In isotopes is systematically investigated. The present study reveals the diversity of excitation modes in 117In.
High-spin states of 117In are studied through the incomplete fusion reaction induced by 7Li with 116Cd. A total of 19 new levels and 22 new transitions are observed. A pair of signature partner bands with the $ \pi (g_{7/2},d_{5/2})$ configuration is identified. The single-particle states are described through shell-model calculations. The dipole band with the configuration of $ \pi g_{9/2}^{-1} \otimes \nu (h_{11/2})^2$ is proposed as a ''stapler'' band based on the calculations of tilted axis cranking covariant density functional theory. The ''stapler'' mechanism in In isotopes is systematically investigated. The present study reveals the diversity of excitation modes in 117In.
2026, 50(5): 054109. doi: 10.1088/1674-1137/ae4ba8
Abstract:
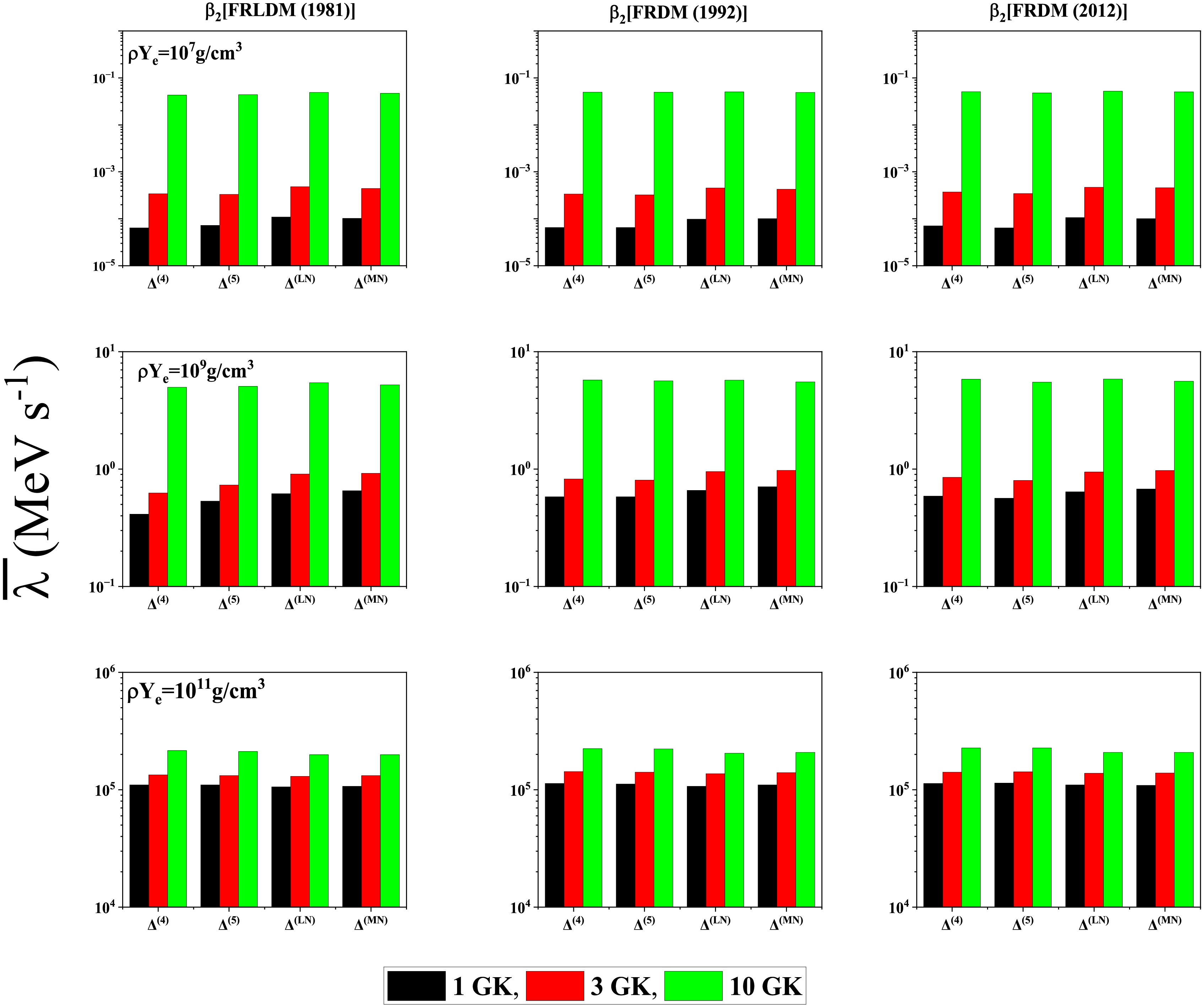
The simulation of the observed properties of type I X-ray bursts, also known as superbursts, poses challenges once Cooper pair neutrino emission from the crust of the neutron star are included. Further, additional heating of the accumulating fuel layer is required. The emission of γ-rays caused by electron captures to excited states in astrophysical environments is a major source of heat loss competing with that carried away by weak-interaction neutrinos. γ-heating significantly affect the presupernova evolution of massive stars and the calculation of the thermal structure in the crust and core of superbursts. This energy deposition enhances entropy production and promotes convection at this stage of stellar evolution. Effective γ-heating rates reduce the ignition depth of superbursts. A recent investigation ranked the leading electron capturing nuclei as the cause for significant changes in the lepton-to-baryon fraction ($Y_e$) of the stellar matter after silicon core burning. We investigate γ-heating rates from the excited states of the top 100 electron capture and positron decay nuclei identified in recently published ranking lists. Each nucleus was analyzed using four different empirical pairing gaps and three distinct sets of nuclear deformation parameters to assess the effect of γ-heating rates. We report our calculations for the temperature range of 1−10 GK and density range of $10^{9}$−$10^{11}$ g/cm$^{3}$. The calculated γ-heating rates changes up to a factor 26 (16) with changing deformation values (pairing gaps). Our findings may contribute to more realistic simulations of post-silicon burning phases of massive stars and superbursting neutron stars.
The simulation of the observed properties of type I X-ray bursts, also known as superbursts, poses challenges once Cooper pair neutrino emission from the crust of the neutron star are included. Further, additional heating of the accumulating fuel layer is required. The emission of γ-rays caused by electron captures to excited states in astrophysical environments is a major source of heat loss competing with that carried away by weak-interaction neutrinos. γ-heating significantly affect the presupernova evolution of massive stars and the calculation of the thermal structure in the crust and core of superbursts. This energy deposition enhances entropy production and promotes convection at this stage of stellar evolution. Effective γ-heating rates reduce the ignition depth of superbursts. A recent investigation ranked the leading electron capturing nuclei as the cause for significant changes in the lepton-to-baryon fraction ($Y_e$) of the stellar matter after silicon core burning. We investigate γ-heating rates from the excited states of the top 100 electron capture and positron decay nuclei identified in recently published ranking lists. Each nucleus was analyzed using four different empirical pairing gaps and three distinct sets of nuclear deformation parameters to assess the effect of γ-heating rates. We report our calculations for the temperature range of 1−10 GK and density range of $10^{9}$−$10^{11}$ g/cm$^{3}$. The calculated γ-heating rates changes up to a factor 26 (16) with changing deformation values (pairing gaps). Our findings may contribute to more realistic simulations of post-silicon burning phases of massive stars and superbursting neutron stars.
2026, 50(5): 054108. doi: 10.1088/1674-1137/ae4a90
Abstract:
We study proton radioactivity in proton-rich nuclei with $ 53 \leqslant Z \leqslant 83 $ within a semi-microscopic framework in which the emitted proton is described by a finite-size density distribution. Two proton-density prescriptions are considered, namely, Gaussian and Fermi profiles. When microscopic spectroscopic factors are combined with a double-folding potential based on finite-size proton and daughter densities, the Fermi-density prescription yields the best overall agreement with the experimental results, reducing the global root-mean-square deviation of $ \log_{10} T_{1/2} $ to $ \sigma = 0.37 $. In addition, a modified universal decay law that embeds the same spectroscopic factors yields an even smaller deviation, $ \sigma = 0.28 $, providing a high-precision global description of proton-radioactivity half-lives. We construct the proton–daughter interaction by folding a Skyrme-type effective nucleon–nucleon interaction with finite-size proton densities and spherical daughter densities and evaluate proton-emission half-lives within the Wentzel–Kramers–Brillouin approximation for 39 known proton emitters in this region. State-dependent spectroscopic factors $ S_p^{{\rm{QYB}}} $ and $ S_p^{{\rm{ZHF}}} $ obtained from relativistic mean-field plus Bardeen–Cooper–Schrieffer calculations are employed to account for proton preformation. Subsequently, we compare the calculated half-lives with experimental data and analyze the residuals by grouping them according to the minimum orbital angular momentum and based on whether the decay proceeds from the ground or isomeric state. Finally, we extend the universal decay law for proton emission (UDLP) by including an explicit spectroscopic-factor term, obtaining a modified formula (MUDLP) that provides a compact global parametrization of experimental proton-radioactivity half-lives. Using the best-performing semi-microscopic prescription together with the MUDLP parametrization, we provide conditional half-life estimates for several candidate proton emitters near the proton drip line, where the input $ Q_{p} $ values are taken from AME2020. These results provide quantitative reference values for future experimental searches for new proton-radioactive nuclei.
We study proton radioactivity in proton-rich nuclei with $ 53 \leqslant Z \leqslant 83 $ within a semi-microscopic framework in which the emitted proton is described by a finite-size density distribution. Two proton-density prescriptions are considered, namely, Gaussian and Fermi profiles. When microscopic spectroscopic factors are combined with a double-folding potential based on finite-size proton and daughter densities, the Fermi-density prescription yields the best overall agreement with the experimental results, reducing the global root-mean-square deviation of $ \log_{10} T_{1/2} $ to $ \sigma = 0.37 $. In addition, a modified universal decay law that embeds the same spectroscopic factors yields an even smaller deviation, $ \sigma = 0.28 $, providing a high-precision global description of proton-radioactivity half-lives. We construct the proton–daughter interaction by folding a Skyrme-type effective nucleon–nucleon interaction with finite-size proton densities and spherical daughter densities and evaluate proton-emission half-lives within the Wentzel–Kramers–Brillouin approximation for 39 known proton emitters in this region. State-dependent spectroscopic factors $ S_p^{{\rm{QYB}}} $ and $ S_p^{{\rm{ZHF}}} $ obtained from relativistic mean-field plus Bardeen–Cooper–Schrieffer calculations are employed to account for proton preformation. Subsequently, we compare the calculated half-lives with experimental data and analyze the residuals by grouping them according to the minimum orbital angular momentum and based on whether the decay proceeds from the ground or isomeric state. Finally, we extend the universal decay law for proton emission (UDLP) by including an explicit spectroscopic-factor term, obtaining a modified formula (MUDLP) that provides a compact global parametrization of experimental proton-radioactivity half-lives. Using the best-performing semi-microscopic prescription together with the MUDLP parametrization, we provide conditional half-life estimates for several candidate proton emitters near the proton drip line, where the input $ Q_{p} $ values are taken from AME2020. These results provide quantitative reference values for future experimental searches for new proton-radioactive nuclei.
2026, 50(5): 054106. doi: 10.1088/1674-1137/ae4966
Abstract:
Proton radioactivity, a rare decay mode occurring in proton-rich nuclei beyond the proton drip line, provides valuable insights into nuclear structure, nuclear stability, and the limits of nuclear existence. Building upon the Geiger-Nuttall (GN) law and recent developments in one- and two-proton radioactivity systematics, this paper reports an improved GN law that explicitly separates the effects of daughter-nucleus charge $Z_d$ and orbital angular momentum l. Existing empirical formulas typically couple or add these two contributions, despite their fundamentally different physical origins—the long-range Coulomb interaction and relatively shorter-range centrifugal potential. By introducing an additional parameter to independently scale the l-dependent contribution, we quantify their separate contributions to the decay half-life. Using experimental data from 44 proton emitters and available two-proton emitters, we determine the optimal parameter sets for both one- and two-proton radioactivity. The improved GN law yields a smaller standard deviation σ = 0.357 for one-proton emission and reproduces experimental two-proton radioactive half-lives within one order of magnitude. The resulting law provides enhanced predictive power and a physically transparent interpretation of Coulomb and centrifugal contributions, offering reliable theoretical support for future studies and experimental searches for exotic proton-rich nuclei.
Proton radioactivity, a rare decay mode occurring in proton-rich nuclei beyond the proton drip line, provides valuable insights into nuclear structure, nuclear stability, and the limits of nuclear existence. Building upon the Geiger-Nuttall (GN) law and recent developments in one- and two-proton radioactivity systematics, this paper reports an improved GN law that explicitly separates the effects of daughter-nucleus charge $Z_d$ and orbital angular momentum l. Existing empirical formulas typically couple or add these two contributions, despite their fundamentally different physical origins—the long-range Coulomb interaction and relatively shorter-range centrifugal potential. By introducing an additional parameter to independently scale the l-dependent contribution, we quantify their separate contributions to the decay half-life. Using experimental data from 44 proton emitters and available two-proton emitters, we determine the optimal parameter sets for both one- and two-proton radioactivity. The improved GN law yields a smaller standard deviation σ = 0.357 for one-proton emission and reproduces experimental two-proton radioactive half-lives within one order of magnitude. The resulting law provides enhanced predictive power and a physically transparent interpretation of Coulomb and centrifugal contributions, offering reliable theoretical support for future studies and experimental searches for exotic proton-rich nuclei.
2026, 50(5): 054002. doi: 10.1088/1674-1137/ae457b
Abstract:
Excited states of 95Mo have been reinvestigated via the 87Rb(12C,1p3n)95Mo fusion-evaporation reaction at a beam energy of 62 MeV. The level scheme of 95Mo was enriched by the addition of 13 γ-ray transitions and 11 new levels, while the placements of 6 transitions were reassigned. Shell-model calculations with the GWBXG and SNET interactions were performed to reproduce parts of the observed level structure, providing relevant configuration information. Furthermore, a systematic analysis of the low-lying positive-parity yrast states was conducted for 95Mo and its neighboring $ N=53 $ isotones. In addition, three-dimensional tilted axis cranking covariant density functional theory (3DTAC-CDFT) calculations indicated weakly prolate deformation for 95Mo. Combined with systematics, this result suggests that collectivity similar to that in neighboring nuclei such as 97,99,101Mo may be presented in 95Mo.
Excited states of 95Mo have been reinvestigated via the 87Rb(12C,1p3n)95Mo fusion-evaporation reaction at a beam energy of 62 MeV. The level scheme of 95Mo was enriched by the addition of 13 γ-ray transitions and 11 new levels, while the placements of 6 transitions were reassigned. Shell-model calculations with the GWBXG and SNET interactions were performed to reproduce parts of the observed level structure, providing relevant configuration information. Furthermore, a systematic analysis of the low-lying positive-parity yrast states was conducted for 95Mo and its neighboring $ N=53 $ isotones. In addition, three-dimensional tilted axis cranking covariant density functional theory (3DTAC-CDFT) calculations indicated weakly prolate deformation for 95Mo. Combined with systematics, this result suggests that collectivity similar to that in neighboring nuclei such as 97,99,101Mo may be presented in 95Mo.
2026, 50(5): 054104. doi: 10.1088/1674-1137/ae4584
Abstract:
The role of near neutron-drip-line nuclei in the rapid neutron-capture process (r-process) is studied using the classical r-process model. Simulations under different astrophysical conditions (T, $n_n$) show that r-process paths approach the neutron-drip line under low-temperature and high-neutron-density conditions. A sensitivity study reveals that variations in the nuclear masses of these exotic nuclei lead to evident abundance variations in the $A=110-125$, $A=175-185$, $A=200-205$, and superheavy regions. By contrast, the r-process rare-earth peak and $A=130,195$ peaks remain largely unaffected. The nuclei that clearly impact r-process abundances are mainly distributed in the region of $25\leq Z\leq 90$ and $50\leq N\leq 180$, with the nuclei around neutron magic numbers found to be particularly important for the r-process, even in the near-neutron-drip-line region.
The role of near neutron-drip-line nuclei in the rapid neutron-capture process (r-process) is studied using the classical r-process model. Simulations under different astrophysical conditions (T, $n_n$) show that r-process paths approach the neutron-drip line under low-temperature and high-neutron-density conditions. A sensitivity study reveals that variations in the nuclear masses of these exotic nuclei lead to evident abundance variations in the $A=110-125$, $A=175-185$, $A=200-205$, and superheavy regions. By contrast, the r-process rare-earth peak and $A=130,195$ peaks remain largely unaffected. The nuclei that clearly impact r-process abundances are mainly distributed in the region of $25\leq Z\leq 90$ and $50\leq N\leq 180$, with the nuclei around neutron magic numbers found to be particularly important for the r-process, even in the near-neutron-drip-line region.
2026, 50(5): 054102. doi: 10.1088/1674-1137/ae3e56
Abstract:
The linear relationship between the charge radius deviations for nuclei $ (Z,\, N) $ and those for $ (Z,\, N-2) $ is observed in the predictions of the WS* radius formula and HFB25 model. Together with the linear relationship, a modified radial basis function (RBFlr) approach is proposed to further improve the accuracy of the models in charge radius predictions. The root-mean-square deviation with respect to 995 measured nuclear charge radii falls to 0.007 fm, and the charge radii of Ca isotopes can be much better reproduced. In addition, based on the proposed approach, the charge radii of 331 unmeasured nuclei are predicted. This linear correlation combined with RBFlr has the potential to become a typical practice of physically guided machine learning approaches in nuclear physics.
The linear relationship between the charge radius deviations for nuclei $ (Z,\, N) $ and those for $ (Z,\, N-2) $ is observed in the predictions of the WS* radius formula and HFB25 model. Together with the linear relationship, a modified radial basis function (RBFlr) approach is proposed to further improve the accuracy of the models in charge radius predictions. The root-mean-square deviation with respect to 995 measured nuclear charge radii falls to 0.007 fm, and the charge radii of Ca isotopes can be much better reproduced. In addition, based on the proposed approach, the charge radii of 331 unmeasured nuclei are predicted. This linear correlation combined with RBFlr has the potential to become a typical practice of physically guided machine learning approaches in nuclear physics.
2026, 50(5): 054101. doi: 10.1088/1674-1137/ae3072
Abstract:
The theoretical prediction on the in-medium $NN\rightarrow N\Delta$ cross sections based on a one-boson exchange model involves significant parameter uncertainties. In this work, we reduce these uncertainties by employing relativistic mean field models constrained by neutron star observations. Specifically, the range of the correction factors $R=\sigma^*_{NN\rightarrow N\Delta}/\sigma^{\rm free}_{NN\rightarrow N\Delta}$ is significantly narrowed at nuclear densities above saturation.
The theoretical prediction on the in-medium $NN\rightarrow N\Delta$ cross sections based on a one-boson exchange model involves significant parameter uncertainties. In this work, we reduce these uncertainties by employing relativistic mean field models constrained by neutron star observations. Specifically, the range of the correction factors $R=\sigma^*_{NN\rightarrow N\Delta}/\sigma^{\rm free}_{NN\rightarrow N\Delta}$ is significantly narrowed at nuclear densities above saturation.
2026, 50(6): 1-26.
Abstract:
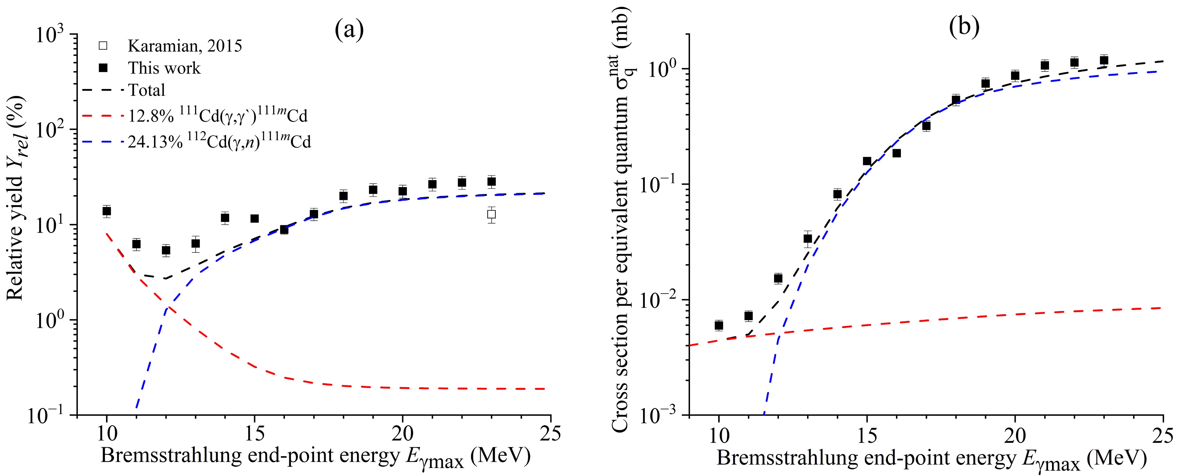
This work used the γ-activation approach to conduct tests at bremsstrahlung end-point energies of 10-23 MeV utilising the MT-25 microtron beam. The experimental values of relative yields and cross sections per equivalent quantum of photonuclear reactions on stable isotopes of cadmium and tellurium were compared to theoretical calculations obtained from TALYS-2.0 using the default parameters and a combined model of photonucleon reactions (CMPR). The inclusion of isospin splitting in the combined model of photonucleon reactions allows for the description of experimental data on proton escape reactions with energies ranging from 17 to 23 MeV. As a result, isospin splitting must be taken into consideration in order to accurately describe the decay of the giant dipole resonance. For Cd isotopes, essential discrepancies of yet unclear origin between theory (TALYS 2.0 and CMPR) and experimental data are found in the neutron channel.
This work used the γ-activation approach to conduct tests at bremsstrahlung end-point energies of 10-23 MeV utilising the MT-25 microtron beam. The experimental values of relative yields and cross sections per equivalent quantum of photonuclear reactions on stable isotopes of cadmium and tellurium were compared to theoretical calculations obtained from TALYS-2.0 using the default parameters and a combined model of photonucleon reactions (CMPR). The inclusion of isospin splitting in the combined model of photonucleon reactions allows for the description of experimental data on proton escape reactions with energies ranging from 17 to 23 MeV. As a result, isospin splitting must be taken into consideration in order to accurately describe the decay of the giant dipole resonance. For Cd isotopes, essential discrepancies of yet unclear origin between theory (TALYS 2.0 and CMPR) and experimental data are found in the neutron channel.
2026, 50(): 1-7. doi: 10.1088/1674-1137/ae5a18
Abstract:
A new measurement of the 65Cu(γ, n)64Cu photoneutron cross section is performed using a quasi-monoenergetic, tunable γ-ray beams produced at the Shanghai Laser Electron Gamma Source (SLEGS). The energy spectrum of the SLEGS γ-ray beams incident on the isotopically enriched 65Cu target was monitored using a BGO detector, while the photoneutron yields are determined with a moderated 3He detection array with high and flat efficiency. Within the energy range of $10.1 \le E_\gamma \le 17.6$ MeV, the measured $\sigma(E_\gamma)$ data have an uncertainty of $\lesssim 4$%, and a pronounced giant-dipole peak is observed at $E_\gamma \simeq 16.65$ MeV with a maximal cross section of $\sigma_{\text{max}} \simeq 137$ mb. These photoneutron data are compared with previous experimental results, and are employed to extract the γ-ray strength function of 65Cu above the neutron threshold. Furthermore, we calculate the radiative neutron capture cross sections and the astrophysical reaction rates for 64Cu, which is a short-lived intermediate nucleus whose reaction rate controls the local abundance distribution in the weak s-process. It is found that the calculated 64Cu(n, γ)65Cu data have an overall agreement with ENDF/B-VIII.0, JEFF-3.3, and TENDL-2023 evaluations and the corresponding astrophysical reaction rates are consistent with those reported in the JINA REACLIB database.
A new measurement of the 65Cu(γ, n)64Cu photoneutron cross section is performed using a quasi-monoenergetic, tunable γ-ray beams produced at the Shanghai Laser Electron Gamma Source (SLEGS). The energy spectrum of the SLEGS γ-ray beams incident on the isotopically enriched 65Cu target was monitored using a BGO detector, while the photoneutron yields are determined with a moderated 3He detection array with high and flat efficiency. Within the energy range of $10.1 \le E_\gamma \le 17.6$ MeV, the measured $\sigma(E_\gamma)$ data have an uncertainty of $\lesssim 4$%, and a pronounced giant-dipole peak is observed at $E_\gamma \simeq 16.65$ MeV with a maximal cross section of $\sigma_{\text{max}} \simeq 137$ mb. These photoneutron data are compared with previous experimental results, and are employed to extract the γ-ray strength function of 65Cu above the neutron threshold. Furthermore, we calculate the radiative neutron capture cross sections and the astrophysical reaction rates for 64Cu, which is a short-lived intermediate nucleus whose reaction rate controls the local abundance distribution in the weak s-process. It is found that the calculated 64Cu(n, γ)65Cu data have an overall agreement with ENDF/B-VIII.0, JEFF-3.3, and TENDL-2023 evaluations and the corresponding astrophysical reaction rates are consistent with those reported in the JINA REACLIB database.
2026, 50(5): 054105. doi: 10.1088/1674-1137/ae43c5
Abstract:
A suitable Hamiltonian was designed for the Zr isotopes over the N = 50 shell by including shell model space between 78Ni and 132Sn. The Hamiltonian is composed by the pairing-plus-multipole force and monopole correction terms. The single-particle energies (SPEs) were initially taken from the low-lying states of hole nuclei 131In and 131Sn (near the N = 82 shell closure). These SPEs were then modified by three monopole correction terms to better describe the low-lying states of 91Zr (near the N = 50 shell closure). To test this Hamiltonian, the level spectra of 91−94Zr were investigated in both low-lying and high-spin excitations by large-scale shell-model calculations. Their wave functions were further tested by comparing the electromagnetic transition probabilities with given $ B(E2)$ data. The good performance in both spectra and transitions probabilities makes the predicting calculations of the present interaction more dependable to be referred in further experimental researches of Zr isotopes.
A suitable Hamiltonian was designed for the Zr isotopes over the N = 50 shell by including shell model space between 78Ni and 132Sn. The Hamiltonian is composed by the pairing-plus-multipole force and monopole correction terms. The single-particle energies (SPEs) were initially taken from the low-lying states of hole nuclei 131In and 131Sn (near the N = 82 shell closure). These SPEs were then modified by three monopole correction terms to better describe the low-lying states of 91Zr (near the N = 50 shell closure). To test this Hamiltonian, the level spectra of 91−94Zr were investigated in both low-lying and high-spin excitations by large-scale shell-model calculations. Their wave functions were further tested by comparing the electromagnetic transition probabilities with given $ B(E2)$ data. The good performance in both spectra and transitions probabilities makes the predicting calculations of the present interaction more dependable to be referred in further experimental researches of Zr isotopes.
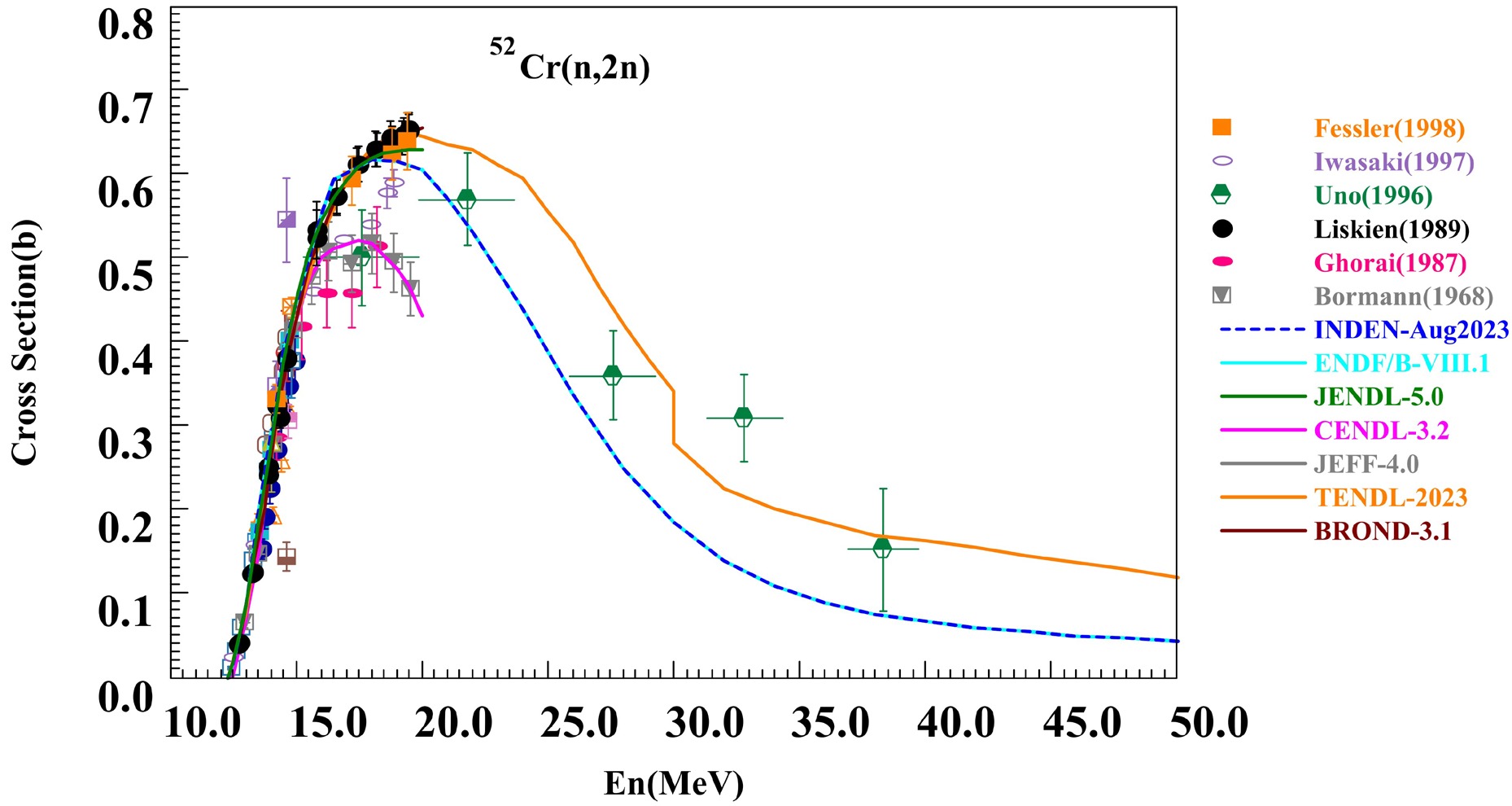
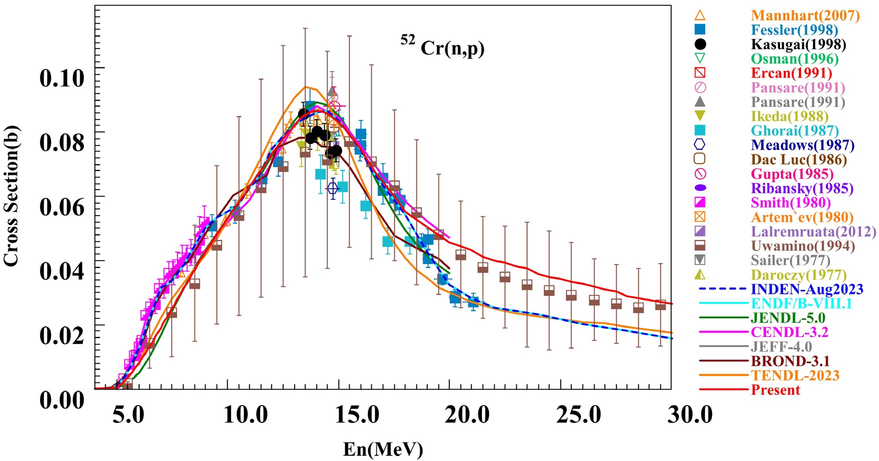
2026, 50(6): 1-28.
Abstract:
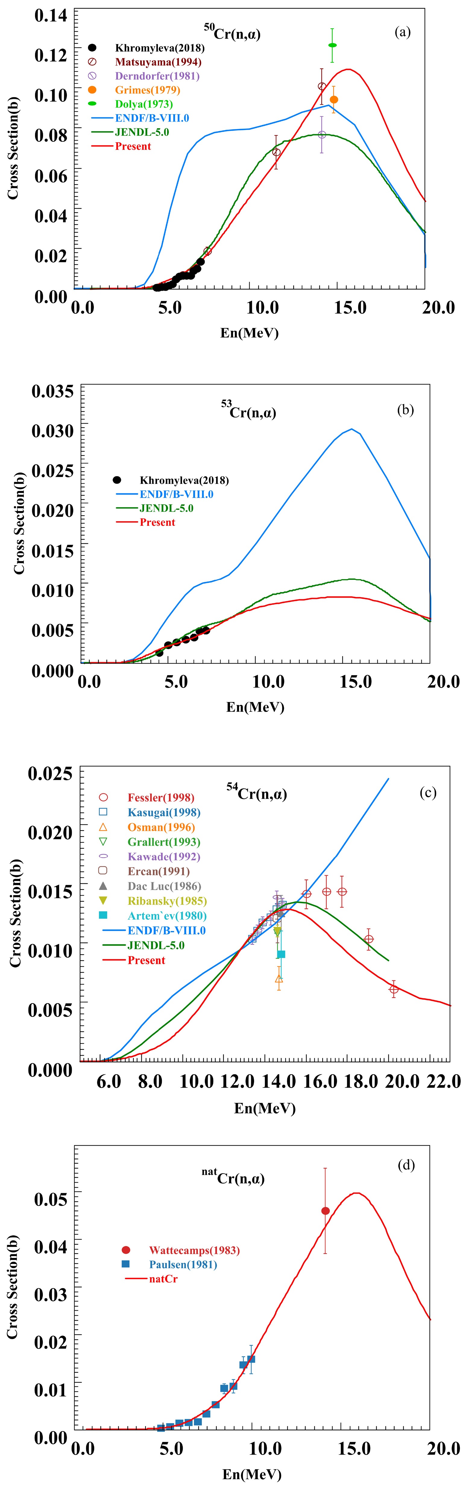
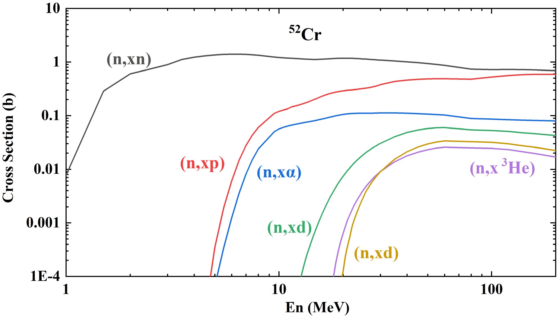
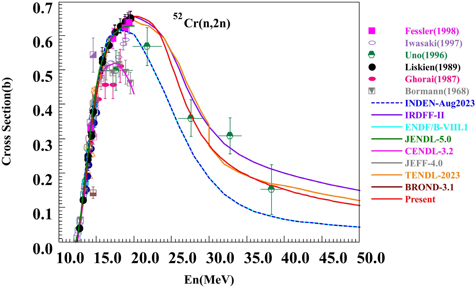
Chromium (Cr) serves as an indispensable structural material in accelerator-driven systems (ADS) and Generation IV reactors, where the precision of its neutron reaction data is important for ensuring reactor safety and operational reliability. However, significant discrepancies persist in both experimental data and evaluations for key reaction channels, such as $(n, p)$ and $(n, 2n)$, across the chromium isotopes $^{50,52,53,54}{\rm{Cr}}$. This study presents a novel evaluation and validation of neutron reaction data for these isotopes at incident energies below 200 MeV, incorporating 571 experimental datasets from EXFOR covering cross sections, angular distributions, energy spectra, and double - differential cross sections. The newly evaluated data provide more reliable key cross sections: the $^{52}{\rm{Cr}}(n,2n)$ cross section resolves discrepancies and supports H.,Liskien et al.'s data; the $^{52}{\rm{Cr}}(n, p)$ cross section aligns well with natural chromium data across all energies, and is validated by competition analysis. The results accurately replicate double differential cross sections and energy spectra, with neutron emission spectra matching experimental peaks and charged - particle spectra agreeing with measurements for $^{50,52}{\rm{Cr}}$. Moreover, the abundance - weighted sum of $(n, p)$ and $(n, 2n)$ cross sections for chromium isotopes agrees well with natural chromium data, confirming systematic consistency. All evaluations are validated using 62 ICSBEP 2014 benchmark facilities with $k_{{\rm{eff}}}$ sensitivity to chromium neutron data > 1%. For the PMI002_01 experiment, calculated $k_{{\rm{eff}}}$ decreased by $\sim 1000$ pcm relative to CENDL - 3.2, improving agreement with the benchmark; in the OKTAVIAN shielding benchmark, the neutron leakage spectrum also produces experiments well.
Chromium (Cr) serves as an indispensable structural material in accelerator-driven systems (ADS) and Generation IV reactors, where the precision of its neutron reaction data is important for ensuring reactor safety and operational reliability. However, significant discrepancies persist in both experimental data and evaluations for key reaction channels, such as $(n, p)$ and $(n, 2n)$, across the chromium isotopes $^{50,52,53,54}{\rm{Cr}}$. This study presents a novel evaluation and validation of neutron reaction data for these isotopes at incident energies below 200 MeV, incorporating 571 experimental datasets from EXFOR covering cross sections, angular distributions, energy spectra, and double - differential cross sections. The newly evaluated data provide more reliable key cross sections: the $^{52}{\rm{Cr}}(n,2n)$ cross section resolves discrepancies and supports H.,Liskien et al.'s data; the $^{52}{\rm{Cr}}(n, p)$ cross section aligns well with natural chromium data across all energies, and is validated by competition analysis. The results accurately replicate double differential cross sections and energy spectra, with neutron emission spectra matching experimental peaks and charged - particle spectra agreeing with measurements for $^{50,52}{\rm{Cr}}$. Moreover, the abundance - weighted sum of $(n, p)$ and $(n, 2n)$ cross sections for chromium isotopes agrees well with natural chromium data, confirming systematic consistency. All evaluations are validated using 62 ICSBEP 2014 benchmark facilities with $k_{{\rm{eff}}}$ sensitivity to chromium neutron data > 1%. For the PMI002_01 experiment, calculated $k_{{\rm{eff}}}$ decreased by $\sim 1000$ pcm relative to CENDL - 3.2, improving agreement with the benchmark; in the OKTAVIAN shielding benchmark, the neutron leakage spectrum also produces experiments well.
2026, 50(5): 053103. doi: 10.1088/1674-1137/ae3dc0
Abstract:
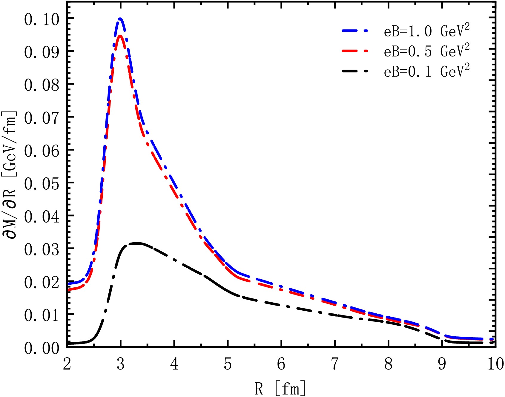
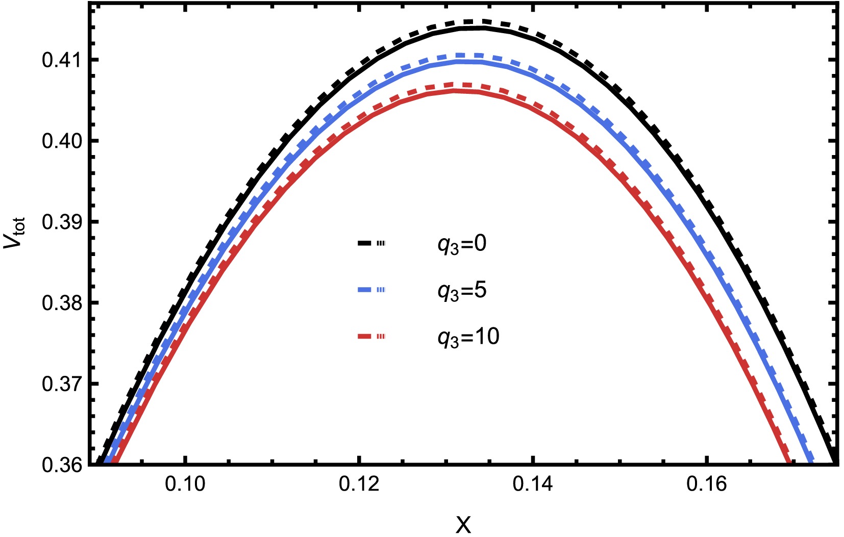
The Schwinger effect, a non-perturbative mechanism for particle production in strong fields, plays a crucial role in understanding quantum vacuum decay and high-energy phenomena, including heavy-ion collisions (HIC). Although holographic quantum chromodynamics (QCD) models have been widely used to study this effect, most treatments assume isotropy or consider only a single type of anisotropy, neglecting the interplay between spatial and magnetic anisotropies that arise in realistic HIC scenarios. A unified framework accounting for both anisotropies is needed to accurately model particle production. We investigate the Schwinger effect in a twice anisotropic holographic QCD model incorporating both spatial and magnetic anisotropies. Using the anti-de Sitter/conformal field theory correspondence, we compute the total potential of a particle-antiparticle pair to quantify how these anisotropies influence pair production. Our results show that the magnetic field (parameterized by $c_B$ and $q_3$) enhances the Schwinger effect by lowering and narrowing the potential barrier, while increasing spatial anisotropy (controlled by $\nu$) suppresses the process by raising and widening the barrier. These findings demonstrate that magnetic and spatial anisotropies exert competing effects on particle production, emphasizing the necessity of treating both concurrently in holographic models. This work advances the theoretical description of the Schwinger effect in anisotropic environments, with implications for understanding non-equilibrium dynamics in HIC and other strongly coupled systems.
The Schwinger effect, a non-perturbative mechanism for particle production in strong fields, plays a crucial role in understanding quantum vacuum decay and high-energy phenomena, including heavy-ion collisions (HIC). Although holographic quantum chromodynamics (QCD) models have been widely used to study this effect, most treatments assume isotropy or consider only a single type of anisotropy, neglecting the interplay between spatial and magnetic anisotropies that arise in realistic HIC scenarios. A unified framework accounting for both anisotropies is needed to accurately model particle production. We investigate the Schwinger effect in a twice anisotropic holographic QCD model incorporating both spatial and magnetic anisotropies. Using the anti-de Sitter/conformal field theory correspondence, we compute the total potential of a particle-antiparticle pair to quantify how these anisotropies influence pair production. Our results show that the magnetic field (parameterized by $c_B$ and $q_3$) enhances the Schwinger effect by lowering and narrowing the potential barrier, while increasing spatial anisotropy (controlled by $\nu$) suppresses the process by raising and widening the barrier. These findings demonstrate that magnetic and spatial anisotropies exert competing effects on particle production, emphasizing the necessity of treating both concurrently in holographic models. This work advances the theoretical description of the Schwinger effect in anisotropic environments, with implications for understanding non-equilibrium dynamics in HIC and other strongly coupled systems.
2026, 50(5): 053102. doi: 10.1088/1674-1137/ae39cc
Abstract:
The interference between amplitudes corresponding to different intermediate resonances plays an important role in generating large CP asymmetries in the phase space in multi-body decays of bottom and charmed mesons. In this study, we examine the CP violation in the decay channel $ {\overline{B}}^{0}\rightarrow K^{-}\pi^{+}\pi^{0} $ in the phase-space region where the intermediate resonances $ \overline{K}^{*}(892)^{0} $ and $ {\overline{K}^{*}_{0}(700)} $ dominate. In particular, the forward-backward asymmetry (FBA) and the CP asymmetry induced by FBA (FB-CPA), which are closely related to the interference effects between the two aforementioned resonances, are investigated. The nontrivial correlation between FBA and FB-CPA is analyzed. The analysis indicates that FB-CPAs around the resonance $ \overline{K}^{*}(892)^{0} $ can be as large as approximately 35%, which can be potentially accessible by Belle and Belle-II collaborations in the near future.
The interference between amplitudes corresponding to different intermediate resonances plays an important role in generating large CP asymmetries in the phase space in multi-body decays of bottom and charmed mesons. In this study, we examine the CP violation in the decay channel $ {\overline{B}}^{0}\rightarrow K^{-}\pi^{+}\pi^{0} $ in the phase-space region where the intermediate resonances $ \overline{K}^{*}(892)^{0} $ and $ {\overline{K}^{*}_{0}(700)} $ dominate. In particular, the forward-backward asymmetry (FBA) and the CP asymmetry induced by FBA (FB-CPA), which are closely related to the interference effects between the two aforementioned resonances, are investigated. The nontrivial correlation between FBA and FB-CPA is analyzed. The analysis indicates that FB-CPAs around the resonance $ \overline{K}^{*}(892)^{0} $ can be as large as approximately 35%, which can be potentially accessible by Belle and Belle-II collaborations in the near future.
2026, 50(5): 053108. doi: 10.1088/1674-1137/ae4a0b
Abstract:
The quark-mass dependence of the $ N^*(920) $ pole is analyzed using the K-matrix method, with the $ \pi N $ scattering amplitude calculated up to the $ O(p^3) $ order in the chiral perturbation theory. As the quark mass increases, the $ N^*(920) $ pole gradually approaches the real axis in the complex w-plane (where $ w=\sqrt{s} $). Eventually, in the $ O(p^2) $ case, it crosses the u-cut on the real axis and enters the adjacent Riemann sheet when the pion mass reaches $ 526\; {\rm{MeV}} $. At order $ O(p^3) $, the rate at which it approaches the real axis decreases; however, it remains uncertain whether it will ultimately cross the u-cut and enter the adjacent Riemann sheet. In addition, the trajectory of the $N^*(920)$ pole is in qualitative agreement with the results from the linear σ model calculation.
The quark-mass dependence of the $ N^*(920) $ pole is analyzed using the K-matrix method, with the $ \pi N $ scattering amplitude calculated up to the $ O(p^3) $ order in the chiral perturbation theory. As the quark mass increases, the $ N^*(920) $ pole gradually approaches the real axis in the complex w-plane (where $ w=\sqrt{s} $). Eventually, in the $ O(p^2) $ case, it crosses the u-cut on the real axis and enters the adjacent Riemann sheet when the pion mass reaches $ 526\; {\rm{MeV}} $. At order $ O(p^3) $, the rate at which it approaches the real axis decreases; however, it remains uncertain whether it will ultimately cross the u-cut and enter the adjacent Riemann sheet. In addition, the trajectory of the $N^*(920)$ pole is in qualitative agreement with the results from the linear σ model calculation.
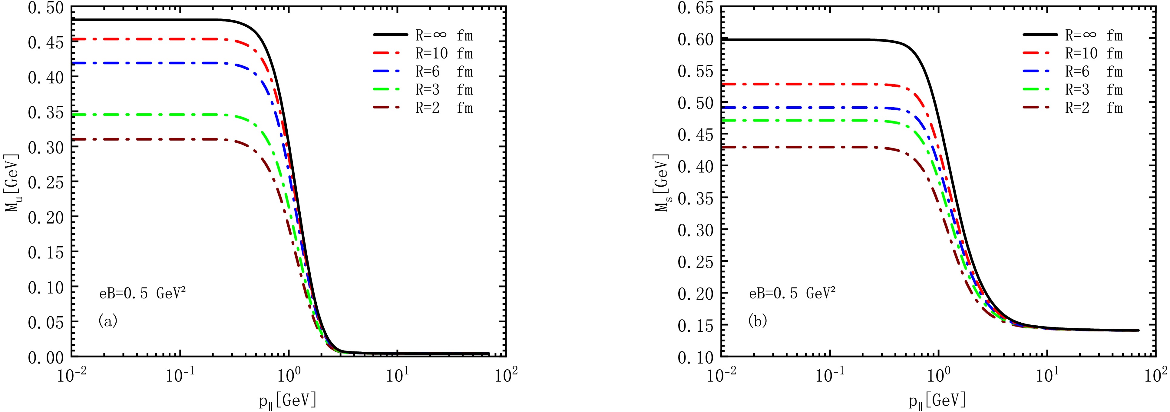
2026, 50(5): 053106. doi: 10.1088/1674-1137/ae4583
Abstract:
Within the framework of Dyson-Schwinger equations (DSEs) and by means of the Multiple Reflection Expansion approximation, we study the finite volume effects on the constituent quark mass in a strong external magnetic field. Since the magnetic field influences the coupling constant, which controls the strength of strong interactions in QCD, we adopt the magnetic-field-dependent running coupling constant in our simulations. The results show that, in addition to the magnetic field, the masses of constituent quarks also have a significant dependence on the volume and the running coupling constant. The model behaves closely to the infinite volume limit for large sizes, but the effect of the finite volume is significant when the system size R is about $ 2-6 $ fm. The finite volume effects and the magnetic-field-dependent running coupling constant have considerable influence on the phase transition.
Within the framework of Dyson-Schwinger equations (DSEs) and by means of the Multiple Reflection Expansion approximation, we study the finite volume effects on the constituent quark mass in a strong external magnetic field. Since the magnetic field influences the coupling constant, which controls the strength of strong interactions in QCD, we adopt the magnetic-field-dependent running coupling constant in our simulations. The results show that, in addition to the magnetic field, the masses of constituent quarks also have a significant dependence on the volume and the running coupling constant. The model behaves closely to the infinite volume limit for large sizes, but the effect of the finite volume is significant when the system size R is about $ 2-6 $ fm. The finite volume effects and the magnetic-field-dependent running coupling constant have considerable influence on the phase transition.
2026, 50(5): 053107. doi: 10.1088/1674-1137/ae4579
Abstract:
In brane-world scenarios, the effective action of a massless bulk $U(1)$ gauge field preserves gauge invariance via couplings between massive vector Kaluza-Klein (KK) and scalar KK modes. In this study, we extend this framework by introducing the term $(\nabla^M X_M)^2$ into the massless bulk $U(1)$ gauge action. This modification explicitly breaks full gauge redundancy while preserving residual gauge symmetry both in the bulk and on the brane. In this setup, scalar KK modes can acquire masses from the background geometry. We find that, on the five-dimensional brane, these scalar KK modes are lighter than the vector KK modes. On the six-dimensional brane, two types of scalar modes emerge, and mixed interactions between them give rise to oscillations among these scalar modes.
In brane-world scenarios, the effective action of a massless bulk $U(1)$ gauge field preserves gauge invariance via couplings between massive vector Kaluza-Klein (KK) and scalar KK modes. In this study, we extend this framework by introducing the term $(\nabla^M X_M)^2$ into the massless bulk $U(1)$ gauge action. This modification explicitly breaks full gauge redundancy while preserving residual gauge symmetry both in the bulk and on the brane. In this setup, scalar KK modes can acquire masses from the background geometry. We find that, on the five-dimensional brane, these scalar KK modes are lighter than the vector KK modes. On the six-dimensional brane, two types of scalar modes emerge, and mixed interactions between them give rise to oscillations among these scalar modes.
2026, 50(5): 053001. doi: 10.1088/1674-1137/ae43c4
Abstract:
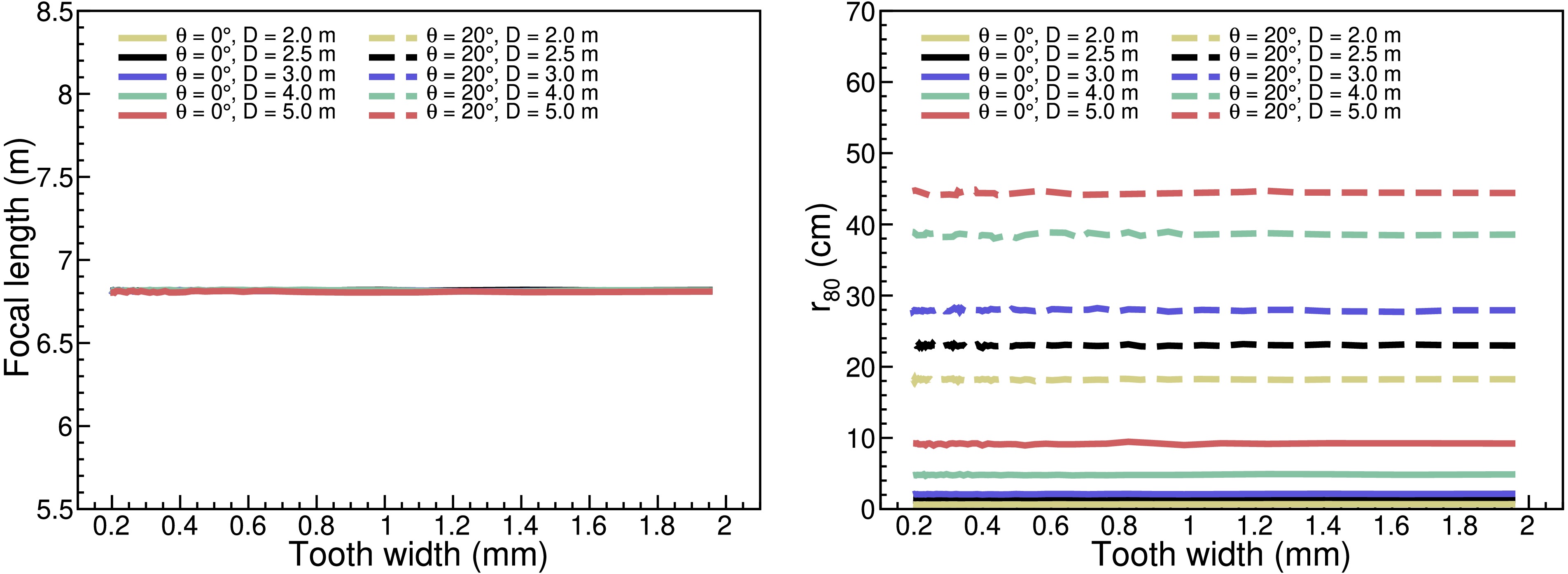
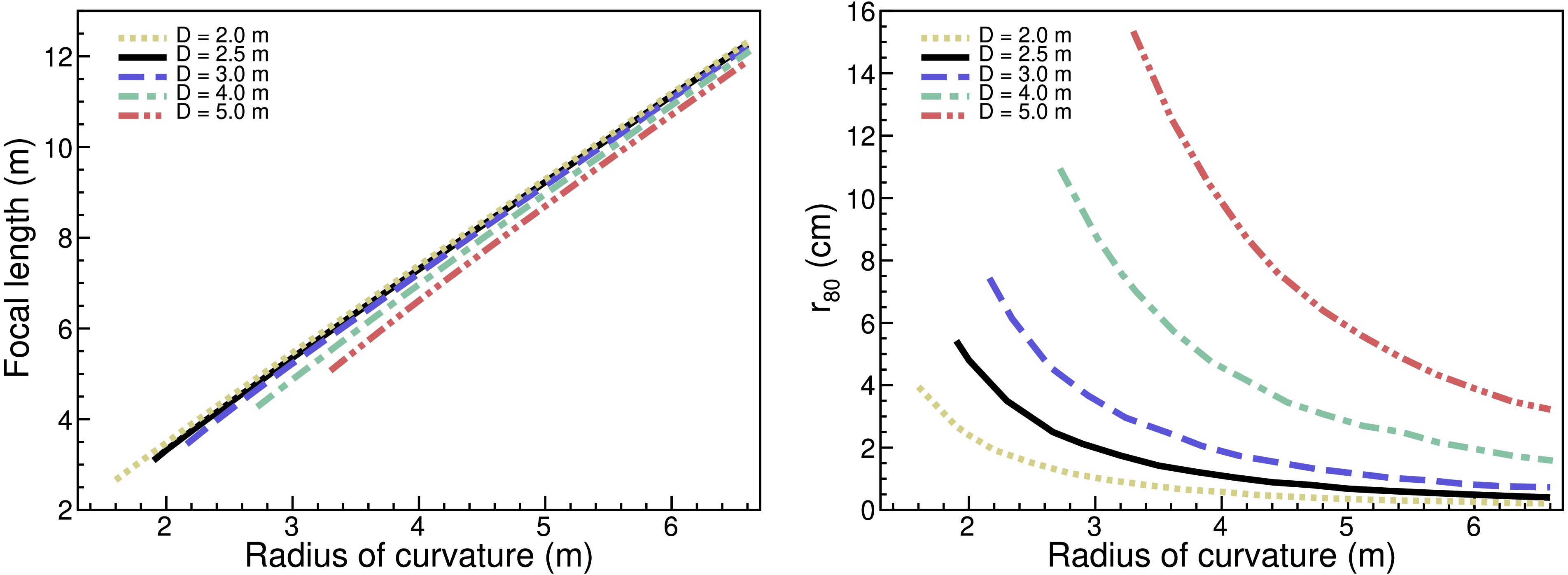
The high altitude detection of astronomical radiation (HADAR) project proposes the use of a refracting telescope composed of four 5.0 m diameter water lenses arranged in a square configuration (100 m × 100 m). This configuration features a wide field of view (FoV, up to 0.84 sr) and low-energy threshold characteristics for observing Cherenkov light generated by high-energy cosmic rays in atmospheric air showers. The Fresnel lens exhibits excellent imaging performance, lightweight characteristics, mature manufacturing processes, strong adaptability in high-altitude low-temperature environments, and facilitates array deployment. The lens has been validated through a series of pilot missions in the Joint Exploratory Missions for an Extreme Universe Space Observatory program, leading to the proposal of a telescope unit design that utilizes the Fresnel lens as an alternative to the water lens. This study simulates and examines the effects of parameters such as the radius of curvature, tooth width, and Fresnel lens thickness on the focal length and image spot ($r_{80}$). To this end, five Fresnel lenses with the same focal length as the 5.0 m diameter water lens were designed, the best focusing positions under different incident angles were extracted, and the curved image surface was constructed through fitting. The results indicate that the imaging quality of the Fresnel lens depends on the radius of curvature. With increasing focal length, $r_{80}$ decreases gradually until it remains unchanged. The tooth width and thickness of the lens affect the structural complexity of the lens and have little impact on imaging quality. The curved image surface design can effectively suppress the aberrations and changes in the solid angle caused by increased incidence angles, maintaining an acceptance that is approximately consistent across different incidence angles. To meet the scientific objectives (wide FoV and low-energy threshold) consistent with HADAR and consider the engineering constraints (focal length $\leq$ 10 m), we select a Fresnel lens with a diameter of 2.0 m and a focal length of 5.3 m (FoV angle 29°, total acceptance 9.81 m2·sr) as the basic lens unit for subsequent array performance simulation. This is based on the premise that the total acceptance is not lower than that of the water lens unit (7.43 m2·sr), the on-axis imaging $r_{80}$ is less than 7.5 cm, and the FoV is as wide as possible.
The high altitude detection of astronomical radiation (HADAR) project proposes the use of a refracting telescope composed of four 5.0 m diameter water lenses arranged in a square configuration (100 m × 100 m). This configuration features a wide field of view (FoV, up to 0.84 sr) and low-energy threshold characteristics for observing Cherenkov light generated by high-energy cosmic rays in atmospheric air showers. The Fresnel lens exhibits excellent imaging performance, lightweight characteristics, mature manufacturing processes, strong adaptability in high-altitude low-temperature environments, and facilitates array deployment. The lens has been validated through a series of pilot missions in the Joint Exploratory Missions for an Extreme Universe Space Observatory program, leading to the proposal of a telescope unit design that utilizes the Fresnel lens as an alternative to the water lens. This study simulates and examines the effects of parameters such as the radius of curvature, tooth width, and Fresnel lens thickness on the focal length and image spot ($r_{80}$). To this end, five Fresnel lenses with the same focal length as the 5.0 m diameter water lens were designed, the best focusing positions under different incident angles were extracted, and the curved image surface was constructed through fitting. The results indicate that the imaging quality of the Fresnel lens depends on the radius of curvature. With increasing focal length, $r_{80}$ decreases gradually until it remains unchanged. The tooth width and thickness of the lens affect the structural complexity of the lens and have little impact on imaging quality. The curved image surface design can effectively suppress the aberrations and changes in the solid angle caused by increased incidence angles, maintaining an acceptance that is approximately consistent across different incidence angles. To meet the scientific objectives (wide FoV and low-energy threshold) consistent with HADAR and consider the engineering constraints (focal length $\leq$ 10 m), we select a Fresnel lens with a diameter of 2.0 m and a focal length of 5.3 m (FoV angle 29°, total acceptance 9.81 m2·sr) as the basic lens unit for subsequent array performance simulation. This is based on the premise that the total acceptance is not lower than that of the water lens unit (7.43 m2·sr), the on-axis imaging $r_{80}$ is less than 7.5 cm, and the FoV is as wide as possible.
2026, 50(5): 053105. doi: 10.1088/1674-1137/ae3f0b
Abstract:
Motivated by the observation of the doubly charmed tetraquark $ T_{cc}(3875)^+ $, we present a systematic study of doubly heavy tetraquarks ($ T_{QQ'\bar{q}\bar{q}'} $) using heavy antiquark-diquark symmetry (HADS) within a constituent quark model. By calibrating model parameters to known hadron spectra and incorporating the effective mass formula, we predict the masses for 38 ground-state tetraquarks with $ cc $, $ bb $, and $ bc $ heavy quark pairs, including the non-strange, single-strange, and double-strange configurations with quantum numbers $ J^P = 0^+, 1^+ $ and $ 2^+ $. Notably, we identify several stable states below the relevant meson-meson thresholds, particularly in the $ bb\bar{q}\bar{q}' $ sector. The explicit connection between the doubly heavy tetraquark and the heavy baryon spectra through HADS reduces model dependence and reveals the fundamental systematics in the heavy-quark hadron landscape.
Motivated by the observation of the doubly charmed tetraquark $ T_{cc}(3875)^+ $, we present a systematic study of doubly heavy tetraquarks ($ T_{QQ'\bar{q}\bar{q}'} $) using heavy antiquark-diquark symmetry (HADS) within a constituent quark model. By calibrating model parameters to known hadron spectra and incorporating the effective mass formula, we predict the masses for 38 ground-state tetraquarks with $ cc $, $ bb $, and $ bc $ heavy quark pairs, including the non-strange, single-strange, and double-strange configurations with quantum numbers $ J^P = 0^+, 1^+ $ and $ 2^+ $. Notably, we identify several stable states below the relevant meson-meson thresholds, particularly in the $ bb\bar{q}\bar{q}' $ sector. The explicit connection between the doubly heavy tetraquark and the heavy baryon spectra through HADS reduces model dependence and reveals the fundamental systematics in the heavy-quark hadron landscape.
2026, 50(5): 053101. doi: 10.1088/1674-1137/ae31df
Abstract:
We propose a novel method for extracting non-singlet (NS) fragmentation functions (FFs) of light charged hadrons from charge asymmetries measured in hadron fragmentation using data from both single-inclusive electron-positron annihilation and semi-inclusive deep-inelastic scattering processes. We determine the NS FFs for pions and kaons at next-to-next-to-leading order in Quantum Chromodynamics through a comprehensive uncertainty analysis. The extracted FFs reveal a scaling index of approximately 0.7 at large momentum fractions and low energy scales, a strangeness suppression factor of approximately 0.5, and universality in fragmentation of light mesons. Our findings establish a valuable benchmark for testing non-perturbative QCD models and Monte Carlo event generators, and serve as crucial inputs for future electron-ion colliders.
We propose a novel method for extracting non-singlet (NS) fragmentation functions (FFs) of light charged hadrons from charge asymmetries measured in hadron fragmentation using data from both single-inclusive electron-positron annihilation and semi-inclusive deep-inelastic scattering processes. We determine the NS FFs for pions and kaons at next-to-next-to-leading order in Quantum Chromodynamics through a comprehensive uncertainty analysis. The extracted FFs reveal a scaling index of approximately 0.7 at large momentum fractions and low energy scales, a strangeness suppression factor of approximately 0.5, and universality in fragmentation of light mesons. Our findings establish a valuable benchmark for testing non-perturbative QCD models and Monte Carlo event generators, and serve as crucial inputs for future electron-ion colliders.
2026, 50(5): 051001. doi: 10.1088/1674-1137/ae4325
Abstract:
We investigate the Wigner distributions of gluons at non-zero skewness using light-front wave functions within the dressed quark model, where the target state is a quark dressed with a gluon in the leading-order Fock space expansion. The analyses focus on the configurations wherein the gluon and/or the target are transversely polarized. Subsequently, we derive analytical expressions for the Wigner distributions in the boost-invariant longitudinal space (σ) for transversely polarized configurations. Resultantly, a diffraction-like oscillatory pattern is yielded in σ-space, which is analogous to that reported previously for unpolarized and longitudinally polarized gluons.
We investigate the Wigner distributions of gluons at non-zero skewness using light-front wave functions within the dressed quark model, where the target state is a quark dressed with a gluon in the leading-order Fock space expansion. The analyses focus on the configurations wherein the gluon and/or the target are transversely polarized. Subsequently, we derive analytical expressions for the Wigner distributions in the boost-invariant longitudinal space (σ) for transversely polarized configurations. Resultantly, a diffraction-like oscillatory pattern is yielded in σ-space, which is analogous to that reported previously for unpolarized and longitudinally polarized gluons.
ISSN 1674-1137 CN 11-5641/O4
Original research articles, Ietters and reviews Covering theory and experiments in the fieids of
- Particle physics
- Nuclear physics
- Particle and nuclear astrophysics
- Cosmology
Author benefits
- A SCOAP3 participating journal - free Open Access publication for qualifying articles
- Average 24 days to first decision
- Fast-track publication for selected articles
- Subscriptions at over 3000 institutions worldwide
- Free English editing on all accepted articles
News
- CPC Announces 2025 Outstanding Reviewers
- Chinese Physics C Outstanding Reviewer Award 2023
- Impact factor of Chinese Physics C is 3.6 in 2022
- 2022 CPC Outstanding Reviewer Awards
- The 2023 Chinese New Year-Office closure
Cover Story
- Cover Story (Issue 4, 2026): Initial performance results of the JUNO detector
- Cover Story (Issue 3, 2026): Comprehensive investigation on baryon number violating nucleon decays involving an axion-like particle
- Cover Story (Issue 2, 2026) |The images of Brans-Dicke-Kerr type naked singularities
- Cover Story (Issue 1, 2026) A focused review of quintom cosmology: from quintom dark energy to quintom bounce
- Cover Story (Issue 11, 2025) The Earth-Magnet Assists DAMPE in Studying Cosmic Anti-Electrons










