2026 Vol. 50, No. 1
Display Method: |
2026, 50(1): 011001. doi: 10.1088/1674-1137/ae0996
Abstract:
We propose a novel method to detect reactor\begin{document}$ \overline{\nu}^{}_e \to \overline{\nu}^{}_\mu $\end{document} and \begin{document}$ \overline{\nu}^{}_e \to \overline{\nu}^{}_\tau $\end{document} oscillations by using elastic antineutrino-electron scattering processes \begin{document}$ \overline{\nu}^{}_\alpha + e^- \to \overline{\nu}^{}_\alpha + e^- $\end{document} (for \begin{document}$ \alpha = e, \mu, \tau $\end{document} ), among which the \begin{document}$ \overline{\nu}^{}_e $\end{document} events can be singled out by accurately measuring the \begin{document}$ \overline{\nu}^{}_e $\end{document} flux via the inverse beta decay \begin{document}$ \overline{\nu}^{}_e + p \to e^+ + n $\end{document} . A proof-of-concept study shows that such measurements will not only be able to test the conservation of probability for reactor antineutrino oscillations, but also offer a new possibility to probe leptonic CP violation at the one-loop level.
We propose a novel method to detect reactor
2026, 50(1): 011002. doi: 10.1088/1674-1137/ae07b7
Abstract:
In this letter, we present rephasing invariant formulae\begin{document}$ \delta^{(\alpha i)} = \arg [{ V_{\alpha 1} V_{\alpha 2} V_{\alpha 3} V_{1i} V_{2i} V_{3i} / V_{\alpha i }^{3} \det V }] $\end{document} for CP phases \begin{document}$ \delta^{(\alpha i)} $\end{document} associated with nine Euler-angle-like parameterizations of a flavor mixing matrix. Here, α and i denote the row and column carrying the trivial phases in a given parameterization. Furthermore, we show that the phases \begin{document}$ \delta^{(\alpha i)} $\end{document} and the nine angles \begin{document}$ \Phi_{\alpha i} $\end{document} of unitarity triangles satisfy compact sum rules \begin{document}$ \delta^{(\alpha, i+2)} - \delta^{(\alpha, i+1)} = \Phi_{\alpha+1, i} - \Phi_{\alpha+2, i} $\end{document} and \begin{document}$ \delta^{(\alpha+1, i)} - \delta^{(\alpha+2, i)} = \Phi_{\alpha, i+2} - \Phi_{\alpha, i+1} $\end{document} where all indices are taken cyclically modulo three. These relations are natural generalizations of the previous result \begin{document}$ \delta_{\mathrm{PDG}}+\delta_{\mathrm{KM}}=\pi-\alpha+\gamma. $\end{document}
In this letter, we present rephasing invariant formulae
2026, 50(1): 011003. doi: 10.1088/1674-1137/ae0995
Abstract:
High moments of conserved quantities, such as net-baryon, net-electric charge, and net-strangeness, in heavy-ion collisions are sensitive to fluctuations caused by the quantum chromodynamics critical point (CP). The event-by-event analysis of high moments of the conserved charges has been widely used in experiments to search for the CP, particularly in the RHIC-STAR experiment. To establish a dynamical non-critical baseline, particularly in the high baryon density region, we performed a systematic analysis of the proton multiplicity distributions from Au+Au collisions at\begin{document}$ 3 \leq \sqrt{s_{NN}} \leq 9.2 $\end{document} GeV. The beam energy, centrality, and rapidity width dependence of proton (factorial) cumulants, up to the \begin{document}$ 4^{\rm th} $\end{document} order, were extracted from the calculations of a hadronic transport model called the ultra-relativistic quantum molecular dynamics (UrQMD) model. In addition, the effects of the initial volume fluctuation are discussed. These results will be important for the physics analysis of the RHIC Beam Energy Scan (BES) data, particularly for the fixed-target data and experimental data from future CBM experiments at FAIR.
High moments of conserved quantities, such as net-baryon, net-electric charge, and net-strangeness, in heavy-ion collisions are sensitive to fluctuations caused by the quantum chromodynamics critical point (CP). The event-by-event analysis of high moments of the conserved charges has been widely used in experiments to search for the CP, particularly in the RHIC-STAR experiment. To establish a dynamical non-critical baseline, particularly in the high baryon density region, we performed a systematic analysis of the proton multiplicity distributions from Au+Au collisions at
2026, 50(1): 012001. doi: 10.1088/1674-1137/ae30e9
Abstract:
The recently released data of DESI DR2 favors a dynamical dark energy theory, with the equation of state crossing the cosmological constant boundary w = −1. In this paper, we briefly review quintom cosmology, especially the quintom bounce. We will give three examples of a quintom bounce and one example of a cyclic universe with quintom matter.
The recently released data of DESI DR2 favors a dynamical dark energy theory, with the equation of state crossing the cosmological constant boundary w = −1. In this paper, we briefly review quintom cosmology, especially the quintom bounce. We will give three examples of a quintom bounce and one example of a cyclic universe with quintom matter.
2026, 50(1): 013001. doi: 10.1088/1674-1137/ae1443
Abstract:
We present a systematic study of the elliptic flow\begin{document}$ v_2 $\end{document} relative to the participant plane (PP) and reaction plane (RP) in Au+Au collisions at \begin{document}$ \sqrt{s_{NN}} = 7.7 $\end{document} −200 GeV using the AMPT model (string melting version). The ratio \begin{document}$ v_{2}^{\text{PP}} $\end{document} /\begin{document}$ v_{2}^{\text{RP}} $\end{document} is investigated under different hadronic cascade times (0.6 fm/c, 10 fm/c, and the maximum evolution time) and across various collision centralities. The results show that, at a fixed collision energy, the ratio exhibits negligible sensitivity to the duration of the hadronic rescattering stage, indicating that hadronic interactions have a minimal effect on the relative difference generated by initial-state fluctuations. However, a strong energy dependence is observed: the ratio increases with beam energy and saturates above \begin{document}$ \sqrt{s_{NN}} \approx 62.4 $\end{document} GeV, a trend that persists across all centralities. These findings highlight the dominant role of the partonic phase in converting initial-state geometry fluctuations into final-state momentum anisotropy. Conversely, at lower energies, the reduced partonic interaction strength limits the efficiency of this conversion, weakening the system’s ability to preserve the initial geometric information. Our results suggest that the conversion of initial geometric fluctuations into final momentum anisotropy requires sufficient partonic interactions.
We present a systematic study of the elliptic flow
2026, 50(1): 013101. doi: 10.1088/1674-1137/ae042d
Abstract:
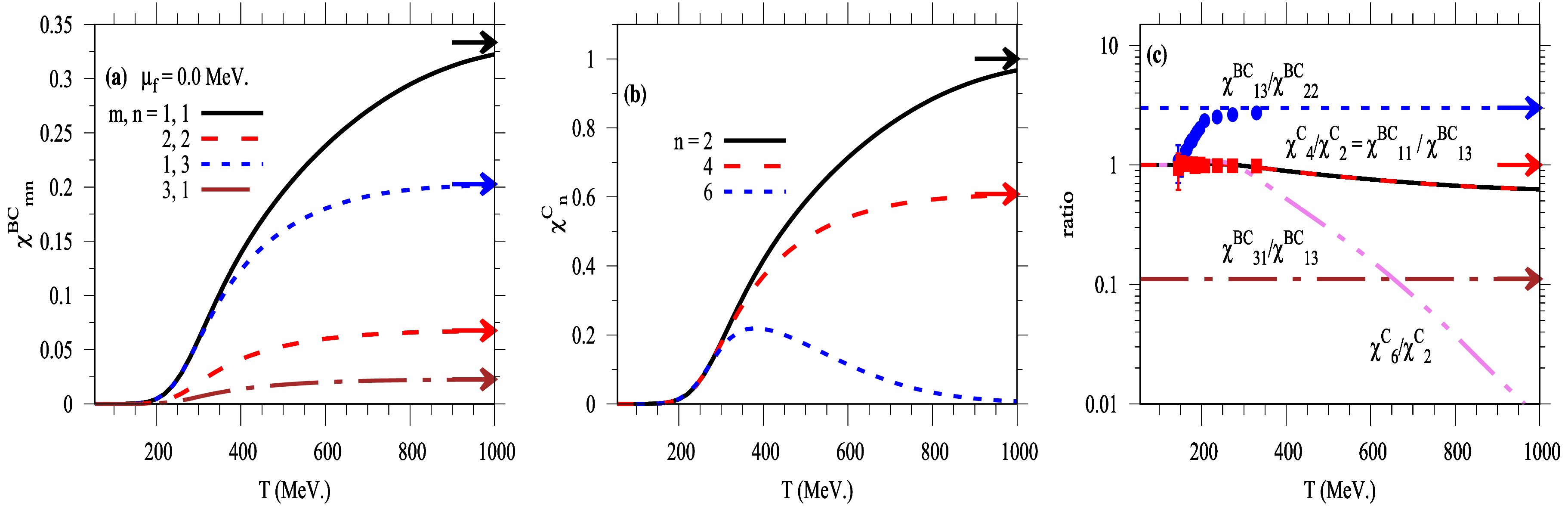
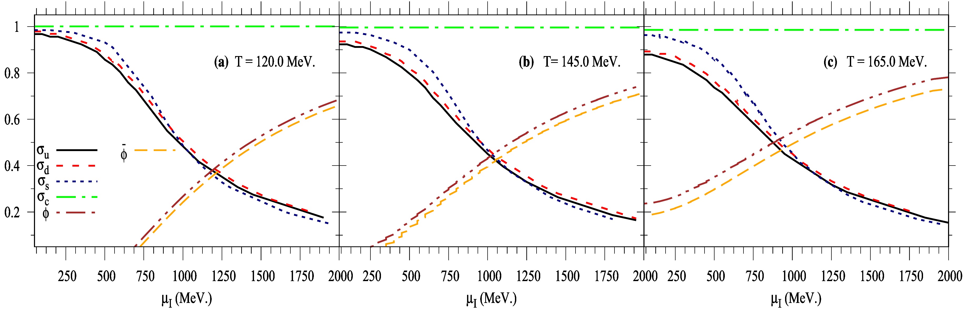
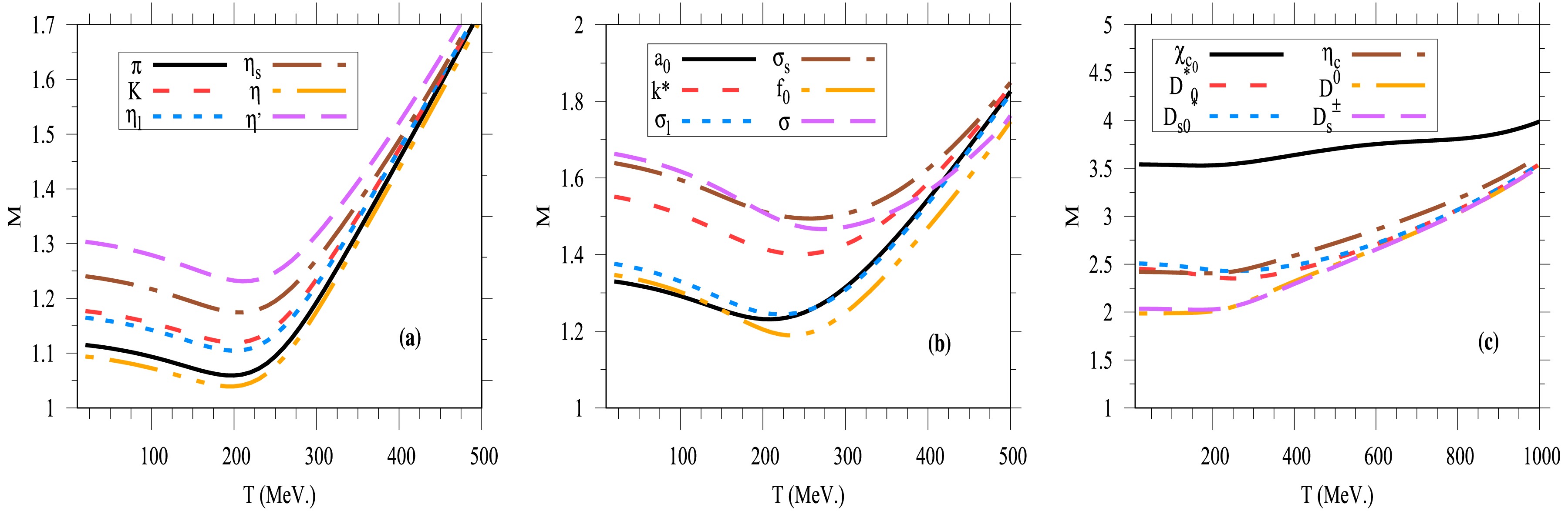
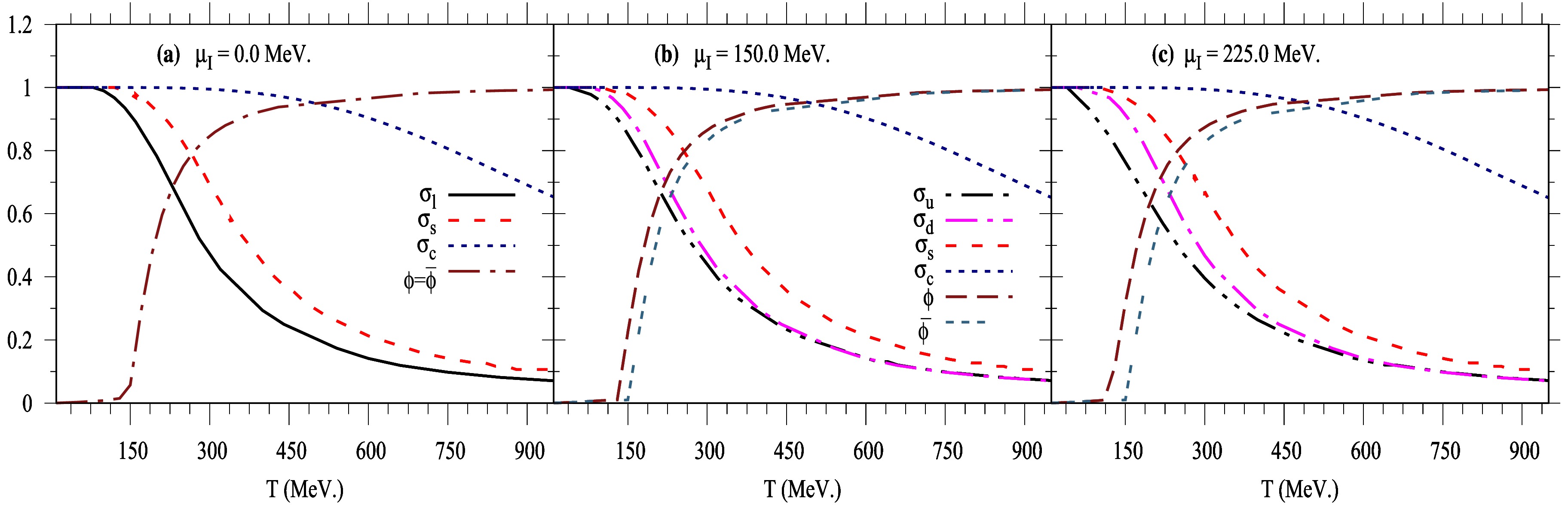
The Polyakov Quark Meson (PQM) model is extended to SU(4) flavor symmetry by incorporating the charm quark and introducing a finite isospin asymmetry. This model incorporates the light, strange, and charm chiral condensates, along with the Polyakov-loop variables, to describe the confinement–deconfinement phase transition in a thermal and dense QCD medium. The inclusion of the charm quark condensate enhances the capability of the SU(4) PQM model to explore the spatial and thermal resolution of the chiral phase structure, particularly in the crossover and high-temperature regimes. We construct the QCD phase diagram (\begin{document}$ T/T_\chi-\mu_I/m_\pi $\end{document} ) plane, indicating a decrease in the pseudo-critical temperature as the isospin chemical potential increases, and explore thermodynamic quantities related to the QCD equation of state at very high temperatures. Fluctuations of quark flavors, conserved charges, and baryon-charm correlations are studied across a wide temperature range. The SU(4) PQM model exhibits good qualitative agreement with lattice QCD calculations. Additionally, we calculate the meson mass spectrum at zero and finite temperature, showing that the charm sector remains thermally stable over a wide temperature range. Overall, this study highlights the capability of the SU(4) PQM model to describe key features of the QCD matter at high temperatures and its relevance to heavy-ion collisions and astrophysical studies.
The Polyakov Quark Meson (PQM) model is extended to SU(4) flavor symmetry by incorporating the charm quark and introducing a finite isospin asymmetry. This model incorporates the light, strange, and charm chiral condensates, along with the Polyakov-loop variables, to describe the confinement–deconfinement phase transition in a thermal and dense QCD medium. The inclusion of the charm quark condensate enhances the capability of the SU(4) PQM model to explore the spatial and thermal resolution of the chiral phase structure, particularly in the crossover and high-temperature regimes. We construct the QCD phase diagram (
2026, 50(1): 013102. doi: 10.1088/1674-1137/ad62d6
Abstract:
We investigate the soft behavior of the tree-level Rutherford scattering processes mediated via t-channel one-graviton exchange. We consider two types of Rutherford scattering processes: a low-energy massless structureless projectile (up to spin-1) hits a static massive composite particle carrying various spins (up to spin-2), and slowly moving light projectile hits a heavy static composite target. The unpolarized cross sections in the first type exhibit universal forms at the first two orders in\begin{document}$ 1/M $\end{document} expansion, yet differ at the next-to-next-to-leading order, though some terms at this order still remain universal or depend on the target spin in a definite manner. The unpolarized cross sections in the second type are universal at the lowest order in projectile velocity expansion and through all orders in \begin{document}$ 1/M $\end{document} , independent on the spins of both projectile and target. The universality partially breaks down at relative order-\begin{document}$ v^2/M^2 $\end{document} , albeit some terms at this order still depend on the target spin in a specific manner.
We investigate the soft behavior of the tree-level Rutherford scattering processes mediated via t-channel one-graviton exchange. We consider two types of Rutherford scattering processes: a low-energy massless structureless projectile (up to spin-1) hits a static massive composite particle carrying various spins (up to spin-2), and slowly moving light projectile hits a heavy static composite target. The unpolarized cross sections in the first type exhibit universal forms at the first two orders in
2026, 50(1): 013103. doi: 10.1088/1674-1137/ae0998
Abstract:
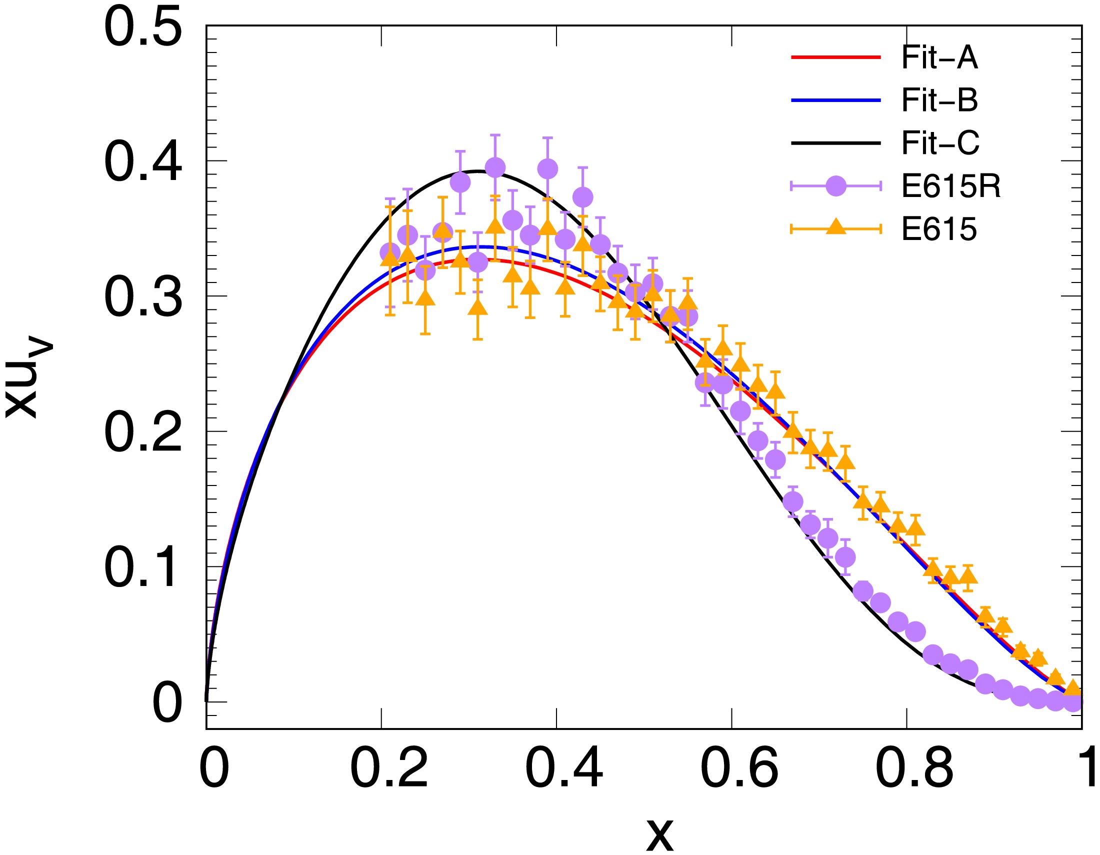
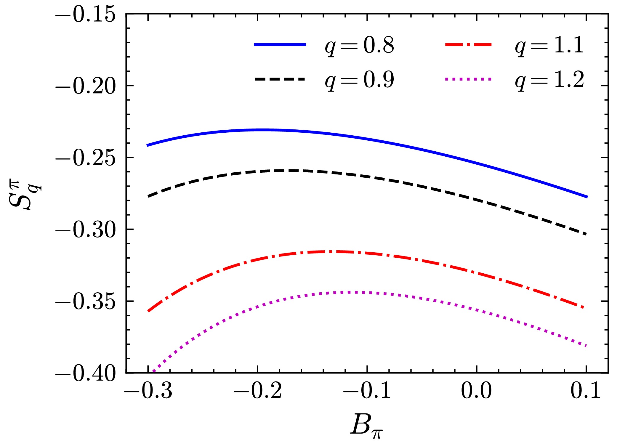
We investigate the valence quark distributions of pions at a low initial scale (\begin{document}$Q^2_0$\end{document} ) using Tsallis entropy, a non-extensive measure that effectively captures long-range correlations among internal constituents. Utilizing the maximum entropy approach, we adopt two distinct functional forms and fit experimental data using the elegant GLR-MQ-ZRS evolution equation to derive the model parameters. Our findings indicate that the resulting valence quark distributions provide an optimal fit to the experimental data, with q values deviating from unity. This deviation indicates that correlations among valence quarks play a significant role in shaping understanding of the internal structures of pions. Additionally, our computations of the first three moments of the pion quark distributions at \begin{document}$ Q^2 = 4$\end{document} GeV2 display consistency with other theoretical models, thereby reinforcing the importance of incorporating valence quark correlations within this analytical framework.
We investigate the valence quark distributions of pions at a low initial scale (
2026, 50(1): 013104. doi: 10.1088/1674-1137/ae07b9
Abstract:
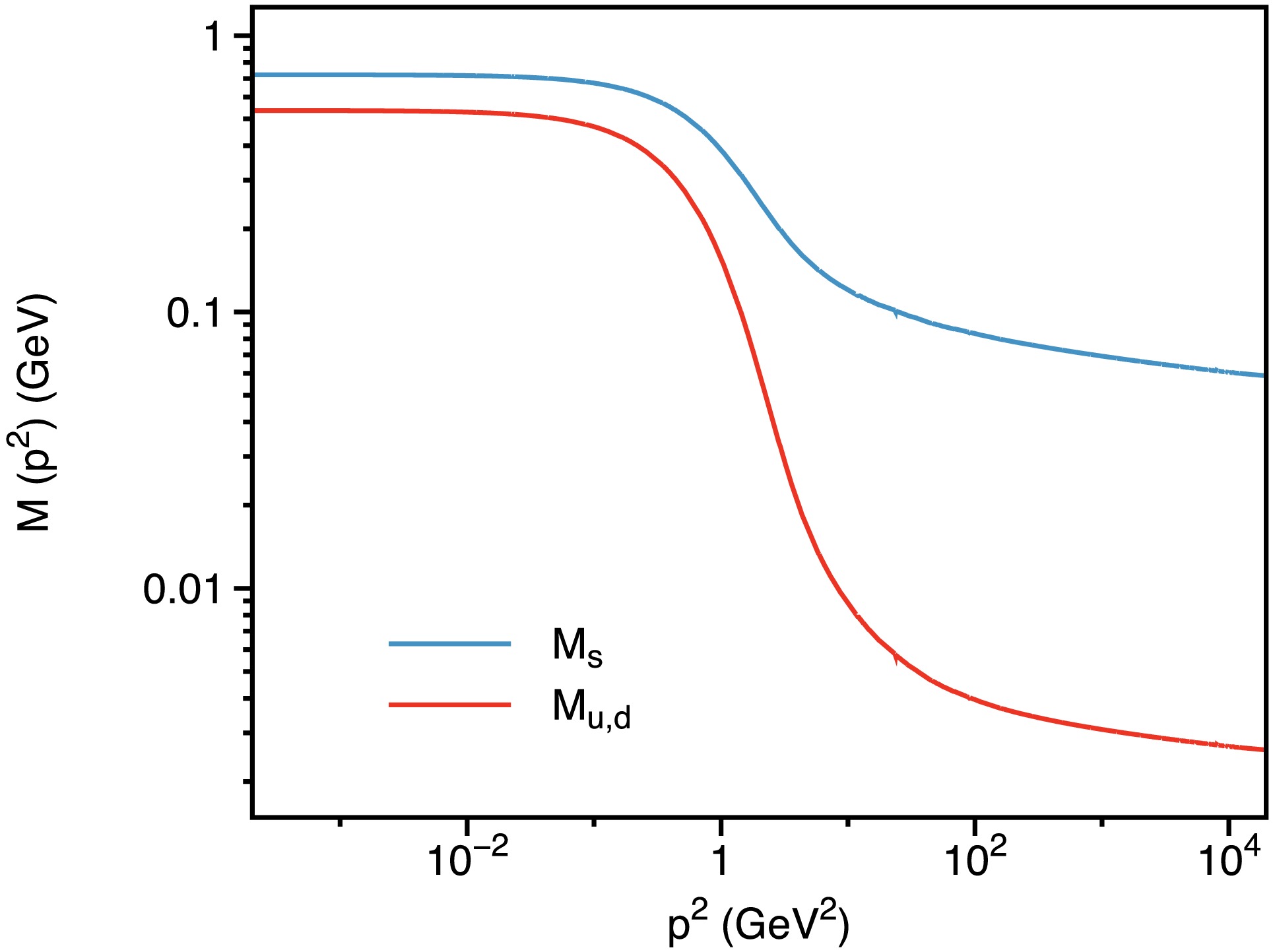
We investigated the impact of a constant external magnetic field on the dressed propagators of up-, down-, and strange quarks. In the weak field limit, we derive a general momentum-space representation for the propagator and numerically solve the corresponding gap equation. Our analysis reveals that the vector term of the propagator can be decomposed into components parallel and perpendicular to the magnetic field, resulting in anisotropic effective masses, with the transverse mass consistently exceeding the longitudinal mass. This mass disparity exhibits a power law dependence on the magnetic field strength and is less pronounced for the strange quark compared to up and down quarks. Additionally, the magnetic field induces axial-vector and tensor terms, highlighting the Zeeman effect, resulting from quark interactions with the magnetic field. These findings have important implications for (inverse) magnetic catalysis and phenomena such as vector meson and pion condensations.
We investigated the impact of a constant external magnetic field on the dressed propagators of up-, down-, and strange quarks. In the weak field limit, we derive a general momentum-space representation for the propagator and numerically solve the corresponding gap equation. Our analysis reveals that the vector term of the propagator can be decomposed into components parallel and perpendicular to the magnetic field, resulting in anisotropic effective masses, with the transverse mass consistently exceeding the longitudinal mass. This mass disparity exhibits a power law dependence on the magnetic field strength and is less pronounced for the strange quark compared to up and down quarks. Additionally, the magnetic field induces axial-vector and tensor terms, highlighting the Zeeman effect, resulting from quark interactions with the magnetic field. These findings have important implications for (inverse) magnetic catalysis and phenomena such as vector meson and pion condensations.
2026, 50(1): 013105. doi: 10.1088/1674-1137/ae07b3
Abstract:
This paper presents novel framework for analyzing unstable composite particles using Green's functions and dispersion relations. As an illustrative example, we explore the ρ vector meson decay process\begin{document}$\rho\to\pi\pi$\end{document} within the Nambu–Jona-Lasinio (NJL) model. This approach addresses a key limitation of the four-quark interaction description, which adequately describes two-quark bound states but fails to describe decay processes. The Bethe-Salpeter (BS) wave function of the ρ meson exhibits time evolution that leads to the physical mass M incorporating a correction \begin{document}$\Delta M $\end{document} . This correction depends on the decay width \begin{document}$\Gamma(M)$\end{document} . This work provides crucial insights into the dynamical relationship between resonance masses and their decay properties, addressing a long-standing challenge in hadron physics. The calculated mass and width are in good agreement with the experimental values, demonstrating the effectiveness of this approach for studying unstable hadronic systems beyond conventional bound-state approximations.
This paper presents novel framework for analyzing unstable composite particles using Green's functions and dispersion relations. As an illustrative example, we explore the ρ vector meson decay process
2026, 50(1): 013106. doi: 10.1088/1674-1137/ae1185
Abstract:
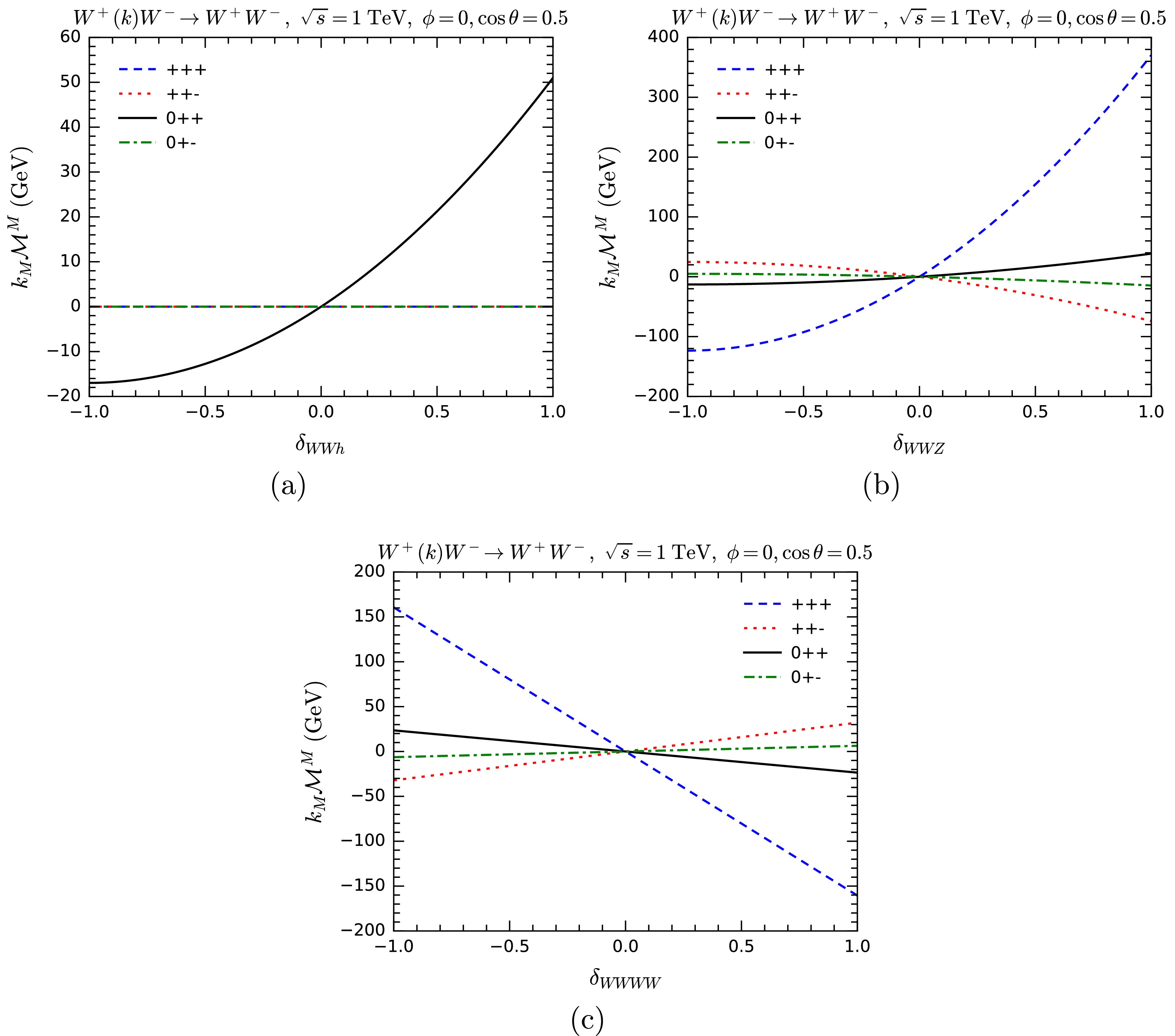
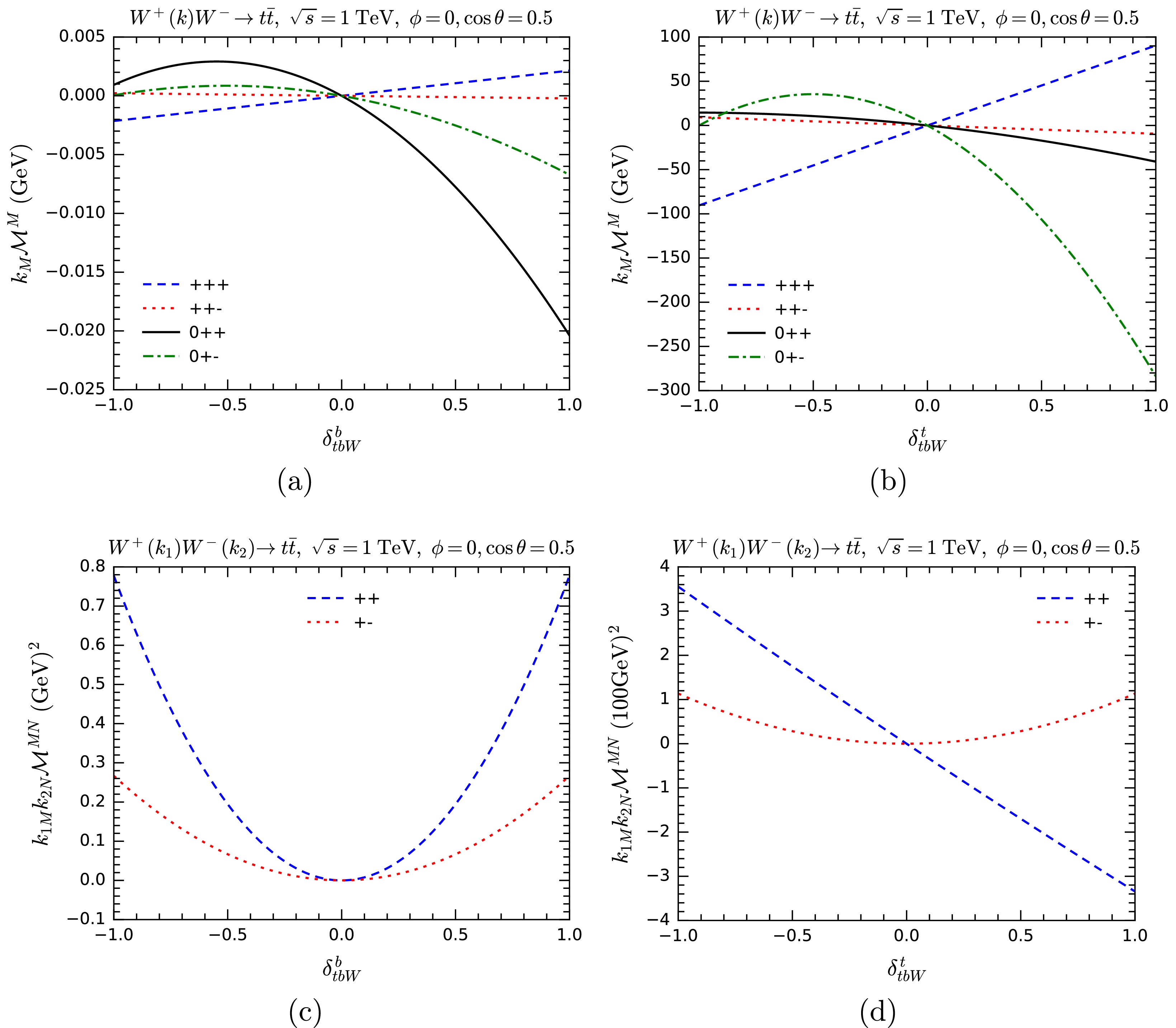
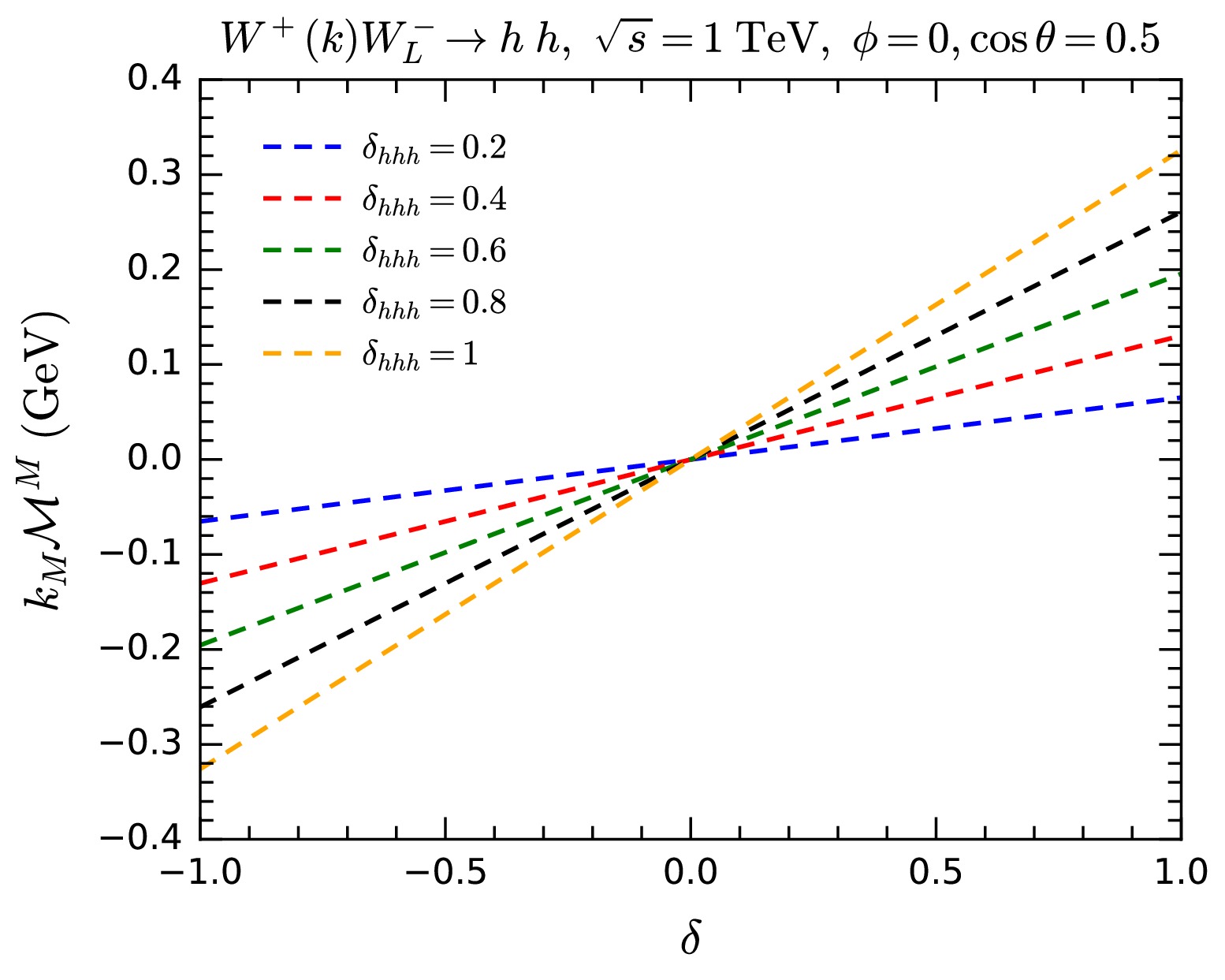
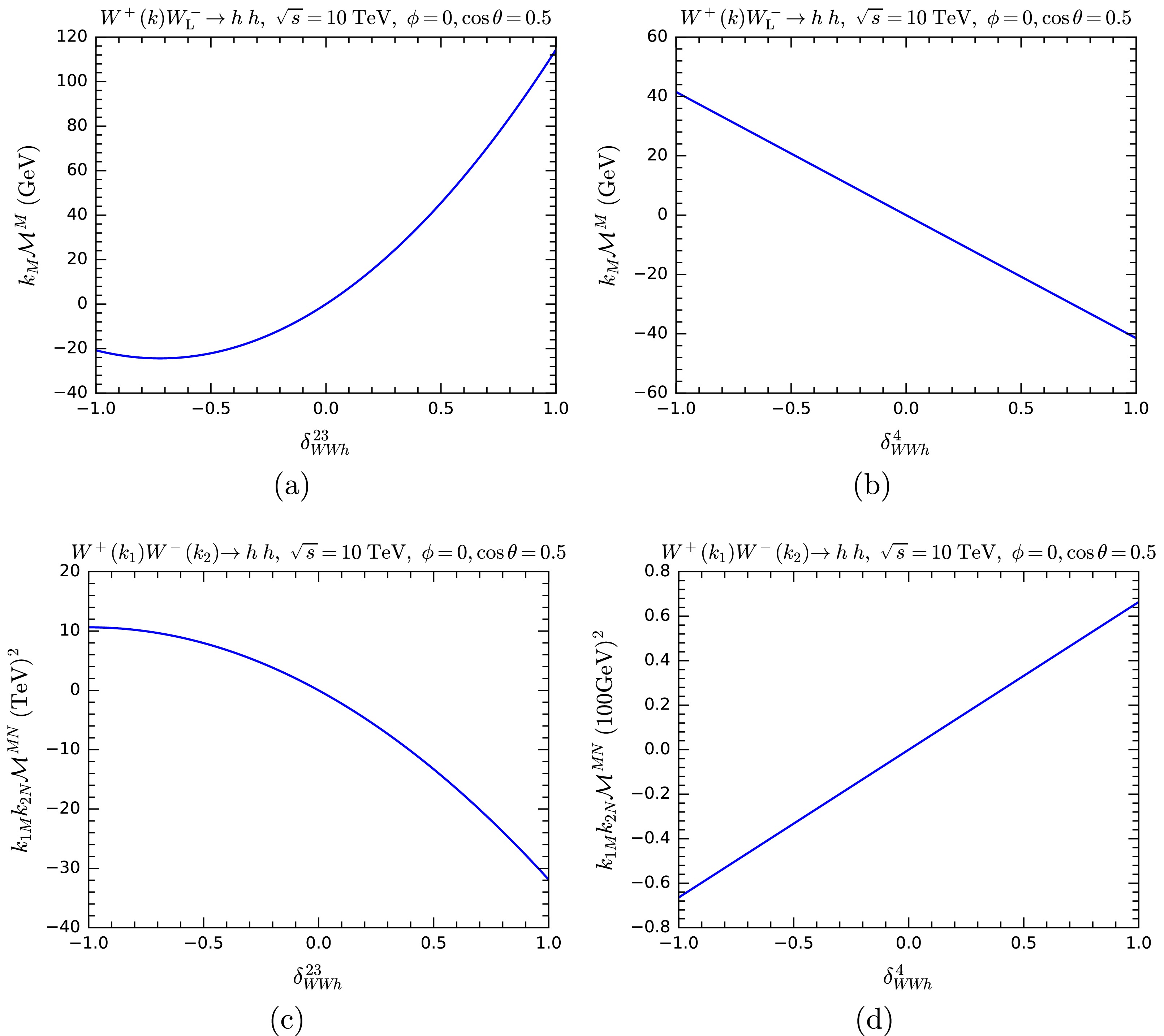
Electroweak (EW) amplitudes in the gauge-Goldstone five-component formalism have a distinctive property: gauge symmetry is imprinted in the amplitudes, manifested as the massive Ward identity (MWI)\begin{document}$ k^M{\cal{M}}_M=0 $\end{document} . In this study, we used the HELAS package to numerically study gauge symmetry in EW amplitudes. First, we directly tested gauge symmetry by examining the MWI of amplitudes. Second, we modified the couplings within a vertex and among vertices to check if and how the MWI changes. Third, we tested gauge symmetry by considering the couplings modified by operators from the standard model effective field theory (SMEFT). Similar to the standard model, there are relations between different couplings that are protected by gauge symmetry. We observed that, if we modify the couplings to deviate from the relations, the MWI is violated. In contrast, the MWI is restored when the relations between couplings reduce to those in the SMEFT.
Electroweak (EW) amplitudes in the gauge-Goldstone five-component formalism have a distinctive property: gauge symmetry is imprinted in the amplitudes, manifested as the massive Ward identity (MWI)
2026, 50(1): 013107. doi: 10.1088/1674-1137/ae0f86
Abstract:
Based on\begin{document}$ (10087\pm 44)\times10^{6} $\end{document} \begin{document}$ J/\psi $\end{document} events collected with the BESIII detector, we search for the lepton number violating decay \begin{document}$ J/\psi \to K^+K^+e^-e^- + c.c. $\end{document} for the first time. The upper limit on the branching fraction of this decay is set to \begin{document}$ 2.1 \times 10^{-9} $\end{document} at the 90% confidence level with a frequentist method. This is the first search for \begin{document}$ J/\psi $\end{document} decays with a lepton number change by two, offering valuable insights into the underlying physical processes.
Based on
2026, 50(1): 013108. doi: 10.1088/1674-1137/ae2082
Abstract:
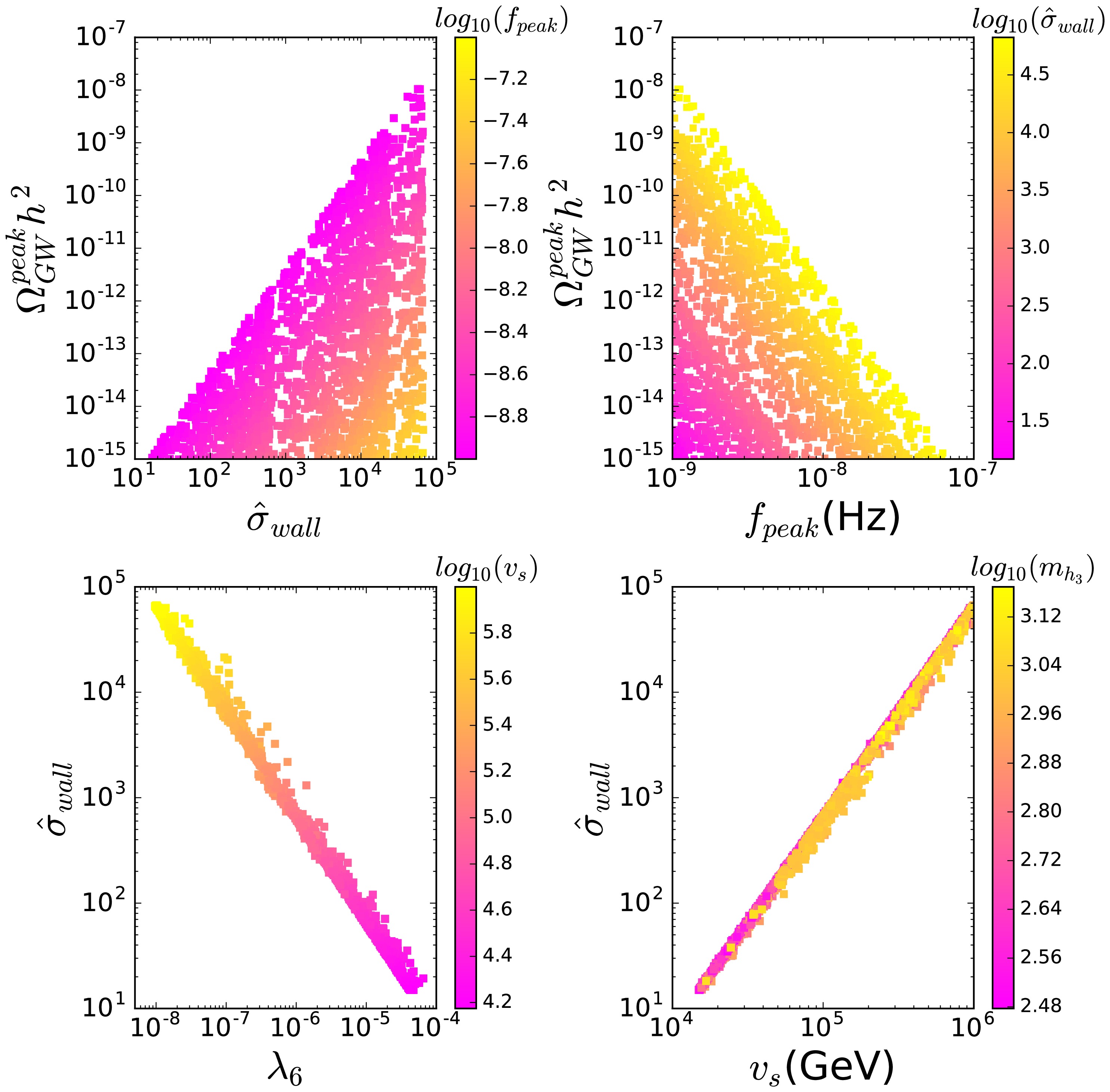
This study explores the diphoton and\begin{document}$b\bar{b}$\end{document} excesses at 95.4 GeV, as well as nano-Hertz gravitational waves originating from domain walls, within the framework of the next-to-two-Higgs-doublet model (N2HDM), which extends the two-Higgs-doublet model by introducing a real singlet scalar subject to a discrete \begin{document}$Z_2$\end{document} symmetry. The \begin{document}$Z_2$\end{document} symmetry is spontaneously broken by the non-zero vacuum expectation value of the singlet scalar, \begin{document}$v_s$\end{document} , which leads to the formation of domain walls. Two different scenarios are discussed: in scenario A, the 95.4 GeV Higgs boson predominantly originates from the singlet field, while in scenario B, it arises mainly from the CP-even components of the Higgs doublets. Accounting for relevant theoretical and experimental constraints, scenario A can fully account for both the diphoton and \begin{document}$b\bar{b}$\end{document} excesses at 95.4 GeV within the \begin{document}$1\sigma$\end{document} range. In the parameter space accommodating both excesses, scenario A fails to provide a valid explanation for the NANOGrav data up to \begin{document}$v_s=$\end{document} 1000 TeV, and the predicted gravitational wave spectrum can exceed the SKA sensitivity curve in the low frequency region. Scenario B only marginally accounts for the diphoton and \begin{document}$b\bar{b}$\end{document} excesses at the \begin{document}$1\sigma$\end{document} level, but can simultaneously explain the NANOGrav data well.
This study explores the diphoton and
2026, 50(1): 014101. doi: 10.1088/1674-1137/adfa81
Abstract:
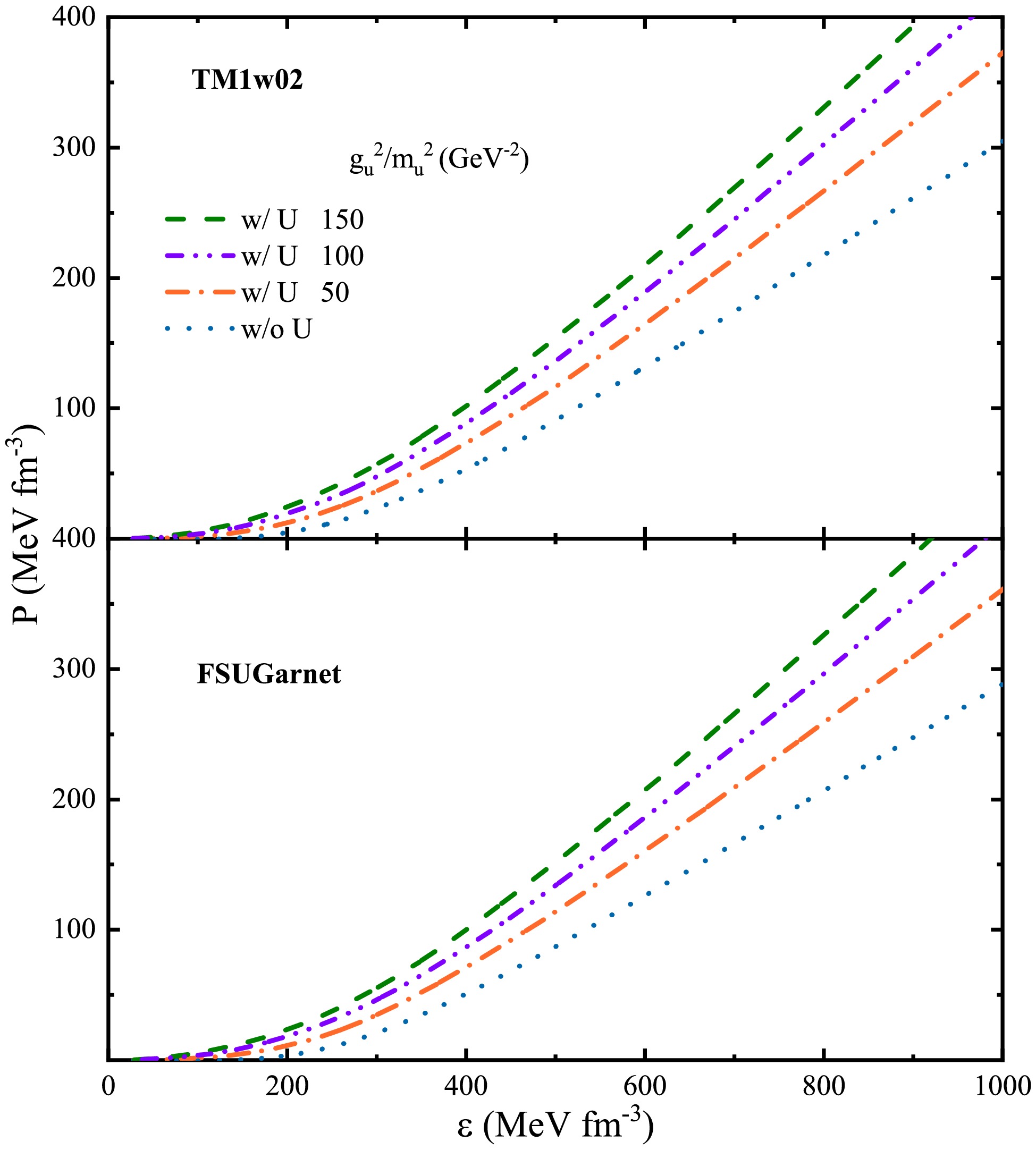
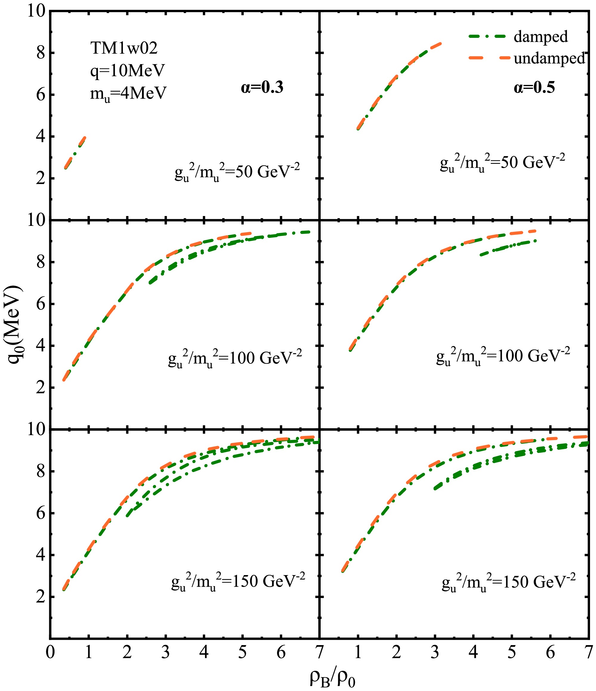
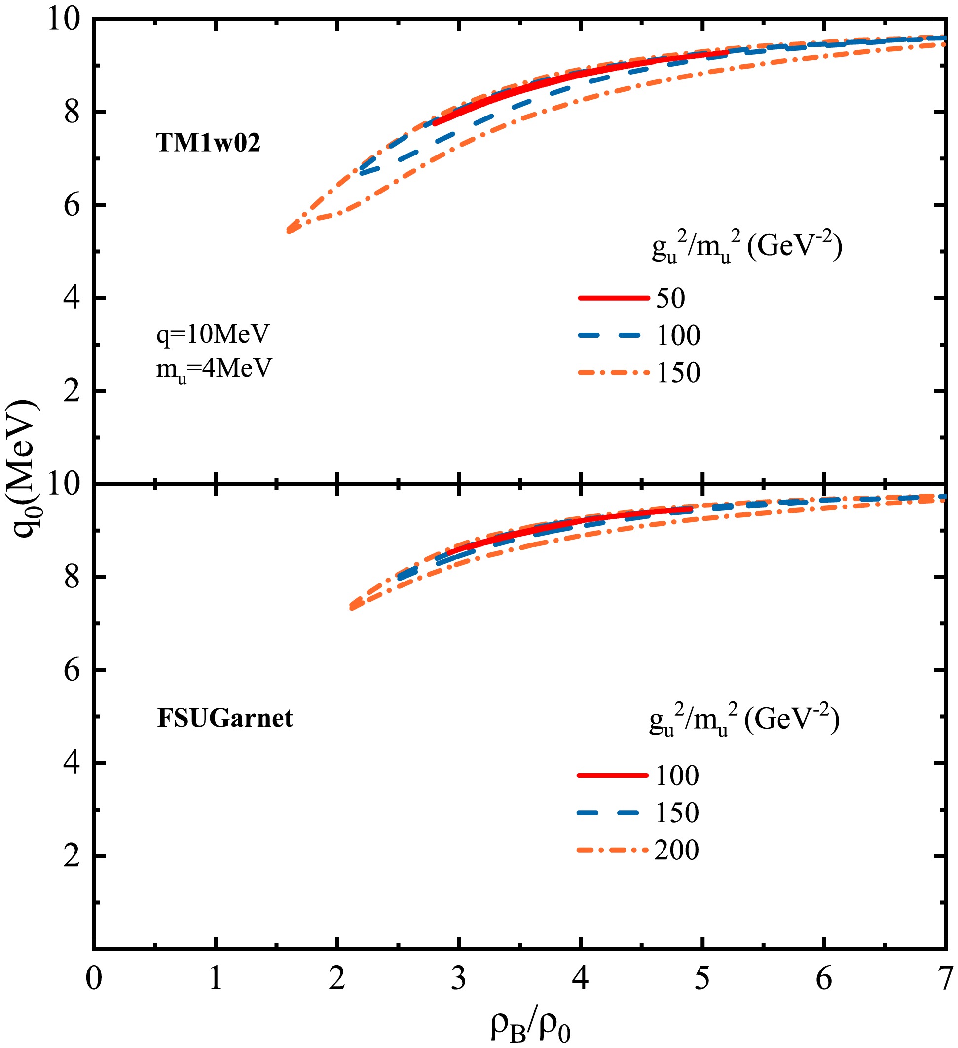
We investigate zero-sound modes in nuclear matter and neutron star matter using the relativistic random phase approximation (RRPA), focusing on the role of a light vector U boson in stiffening the nuclear equation of state (EOS). The occurrence of zero sound is closely linked to the stiffness of the nuclear EOS. The additional vector repulsive potential induced by the U boson results in the occurrence of zero sound at high densities in models with a soft high-density EOS, and the density range for zero sound extends to higher densities with larger coupling strength of the U boson. This confirms the unambiguous role of stiffening the high-density EOS in resulting in the appearance of zero sound.
We investigate zero-sound modes in nuclear matter and neutron star matter using the relativistic random phase approximation (RRPA), focusing on the role of a light vector U boson in stiffening the nuclear equation of state (EOS). The occurrence of zero sound is closely linked to the stiffness of the nuclear EOS. The additional vector repulsive potential induced by the U boson results in the occurrence of zero sound at high densities in models with a soft high-density EOS, and the density range for zero sound extends to higher densities with larger coupling strength of the U boson. This confirms the unambiguous role of stiffening the high-density EOS in resulting in the appearance of zero sound.
2026, 50(1): 014102. doi: 10.1088/1674-1137/ae072b
Abstract:
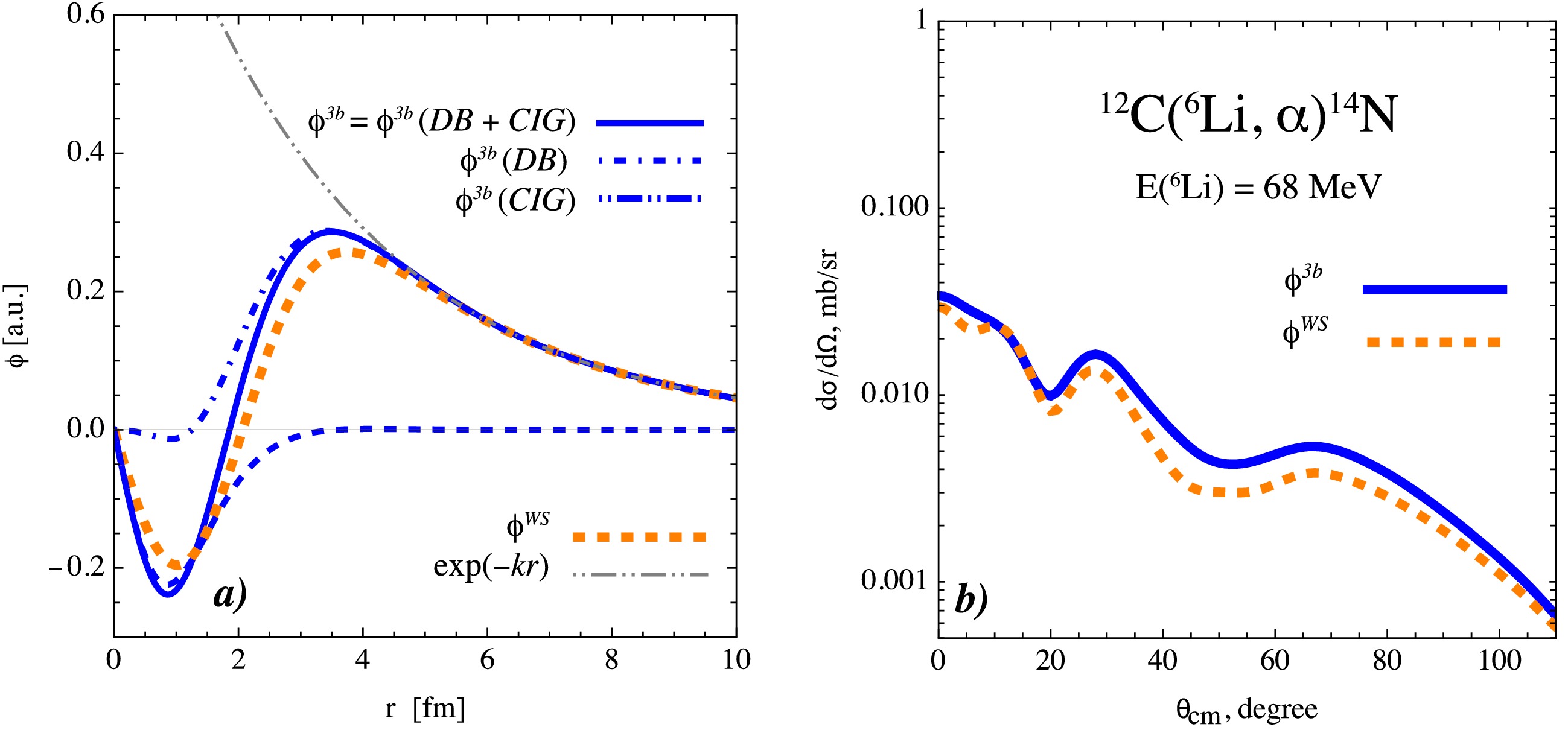
This study presents a combined experimental and theoretical investigation of the 6Li + 12C nuclear reaction at a laboratory energy of 68 MeV. The reaction products are identified via the standard\begin{document}$ \Delta E $\end{document} –E technique. Angular distributions are constructed for the elastic, inelastic, and deuteron transfer channels by detecting emitted particles – 6Li and α. Elastic and inelastic scattering of 6Li off 12C are analyzed using the optical model and coupled channels approaches, with the interaction described by a double-folding potential. This potential is calculated based on the three-body wave function of 6Li. Pronounced coupled-channel effects that modify the potential and allow accurate reproduction of the experimental cross sections are observed. The resulting polarized potentials provide a more precise description of the initial-state interaction for further reaction modeling. The deuteron transfer channel, 12C(6Li, α)14N, is studied using the coupled reaction channels method. The coupling between the transfer and elastic channels is implemented using the three-body wave function of 6Li. As an alternative, a regular wave function constructed with a phenomenological Woods–Saxon potential is also employed. Comparison between the calculated differential cross sections and experimental data reveals a more complex and nuanced reaction mechanism, which supports the cluster structure of 6Li.
This study presents a combined experimental and theoretical investigation of the 6Li + 12C nuclear reaction at a laboratory energy of 68 MeV. The reaction products are identified via the standard
2026, 50(1): 014103. doi: 10.1088/1674-1137/ae042c
Abstract:
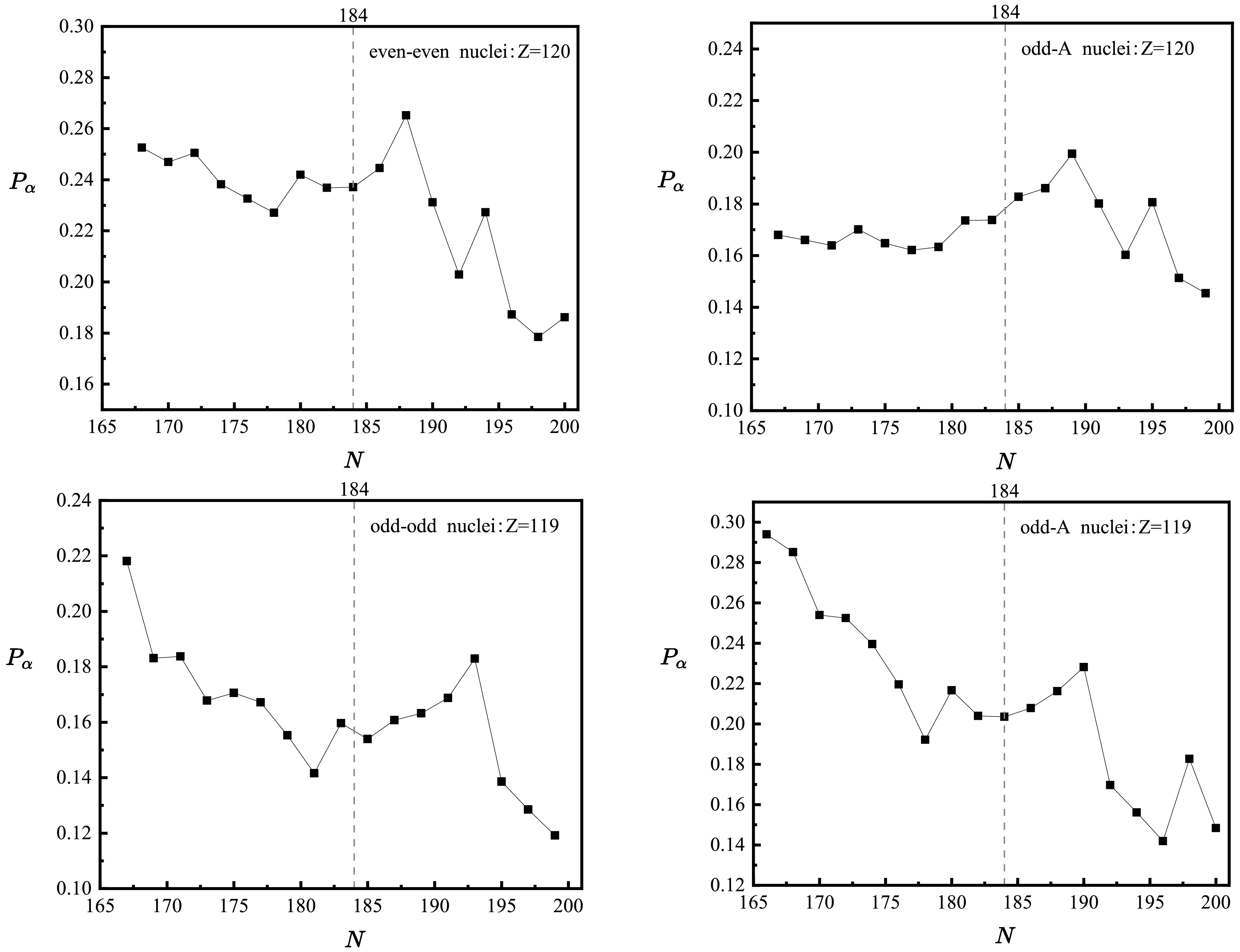
In this study, based on the Wentzel-Kramers-Brillouin (WKB) theory, by parameterizing the assault frequency\begin{document}$ \nu $\end{document} as a function of the \begin{document}$ \alpha $\end{document} decay energy and charge radius of parent nucleus, with the \begin{document}$ \alpha $\end{document} decay preformation factor \begin{document}$ P_\alpha $\end{document} being calculated through the cluster-formation model (CFM), we systematically investigate the \begin{document}$ \alpha $\end{document} decay half-lives of 559 nuclei from the ground state, including 177 even-even, 277 odd-A, and 105 odd-odd nuclei. The calculated results indicate that our model can effectively reproduce the experimental data, with a corresponding standard deviation of 0.408. In addition, we use this model to predict the \begin{document}$ \alpha $\end{document} decay half-lives of 70 even-even, odd-A, and odd-odd nuclei with Z = 119 and 120. For comparison, we also use the universal decay law (UDL) proposed by Qi et al. [Phys. Rev. Lett 103, 072501 (2009)] and the unitary Royer formula (DZR) proposed by Deng et al. [Phys. Rev. C 101, 034307 (2020)]. The calculated results are in good agreement.
In this study, based on the Wentzel-Kramers-Brillouin (WKB) theory, by parameterizing the assault frequency
2026, 50(1): 014104. doi: 10.1088/1674-1137/ae099a
Abstract:
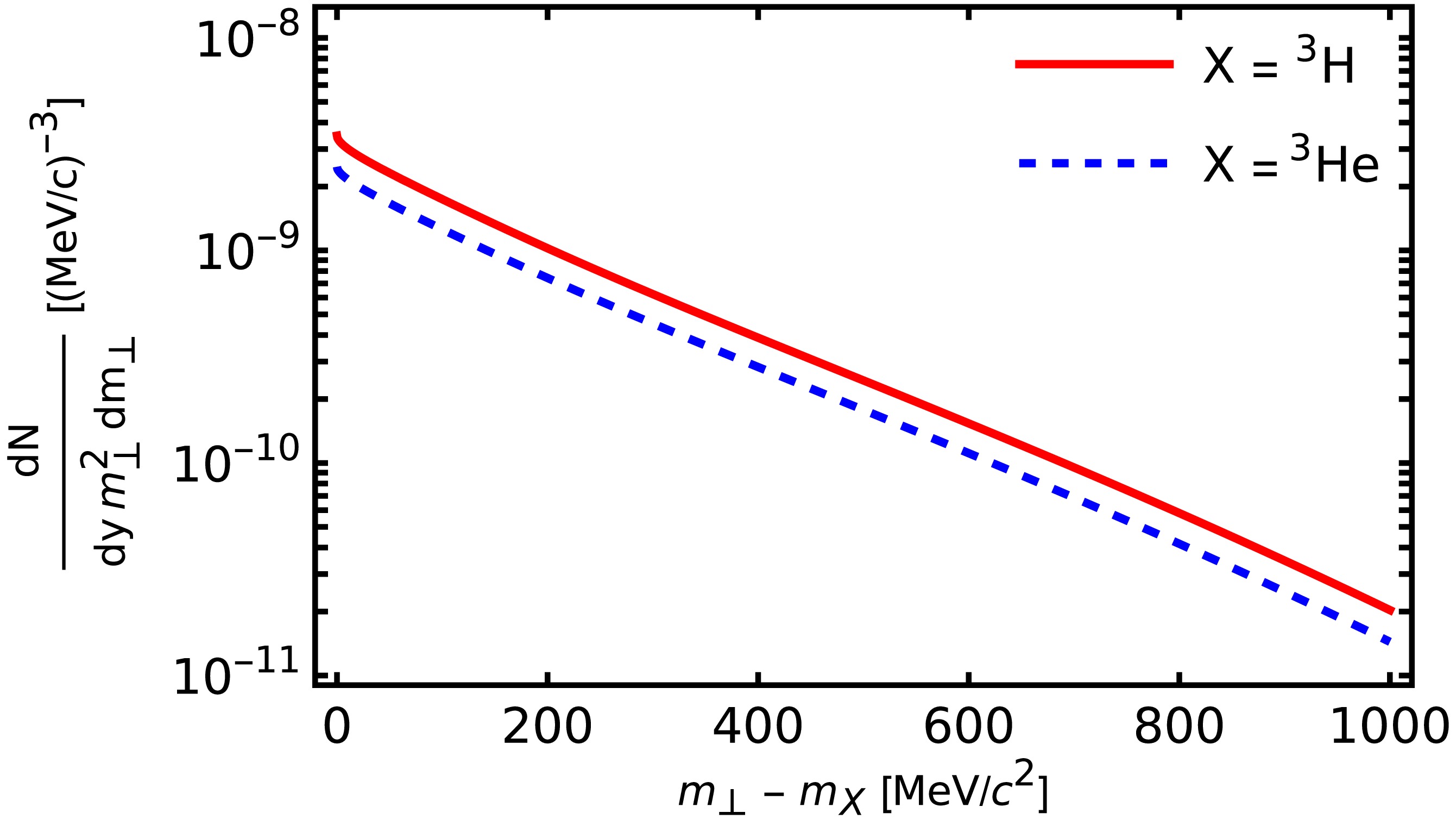
A thermal model describing hadron production in heavy-ion collisions in the few-GeV energy regime is combined with the concept of nucleon coalescence to make predictions for the production of 3H and 3He nuclei. A realistic parametrization of the freeze-out conditions is employed, which accurately reproduces the spectra of protons and pions. It also correctly predicts the deuteron yield, which agrees with experimental observations. However, the predicted yields of 3H and 3He are lower than the experimental results by approximately a factor of two. The model predictions for the spectra can be compared with future experimental data.
A thermal model describing hadron production in heavy-ion collisions in the few-GeV energy regime is combined with the concept of nucleon coalescence to make predictions for the production of 3H and 3He nuclei. A realistic parametrization of the freeze-out conditions is employed, which accurately reproduces the spectra of protons and pions. It also correctly predicts the deuteron yield, which agrees with experimental observations. However, the predicted yields of 3H and 3He are lower than the experimental results by approximately a factor of two. The model predictions for the spectra can be compared with future experimental data.
2026, 50(1): 014105. doi: 10.1088/1674-1137/ae0997
Abstract:
A relativistic Hartree-Bogoliubov (RHB) model based on quark-meson coupling is developed with a new parametrization derived from experimental observables. Using this model, we systematically investigate the ground-state properties of even-even nuclei spanning\begin{document}$ 8\leq Z\leq118 $\end{document} , including binding energies, quadrupole deformations, root-mean-square charge radii, two-nucleon separation energies, two-nucleon shell gaps, and α-decay energies. Comparisons with available experimental data confirm that this subnucleon-based RHB model reliably describes the ground-state properties of finite nuclei.
A relativistic Hartree-Bogoliubov (RHB) model based on quark-meson coupling is developed with a new parametrization derived from experimental observables. Using this model, we systematically investigate the ground-state properties of even-even nuclei spanning
2026, 50(1): 014106. doi: 10.1088/1674-1137/adfe55
Abstract:
A sensitivity study was performed to investigate the impact of individual nuclear masses on r-process rare-earth peak abundances in different astrophysical scenarios. The most impactful nuclei are primarily distributed in two regions on the nuclear chart: one located 20-30 neutrons away from stability (defined as region I) and another 7-15 neutrons away from stability (defined as region II), as previously reported in Phys. Lett. B 844, 138092 (2023). In this study, we extend our analysis by focusing on the role of fission in the mass sensitivity study. The results show that, in astrophysical scenarios involving fission, the sensitivity of nuclei in region I is diminished owing to the deposition of a large number of fission fragments in the rare-earth mass region. However, nuclei in region II retain high sensitivity because the contribution of fission decreases in the later stages of nucleosynthesis. This study highlights the impact of fission on the sensitivity of r-process abundances to nuclear masses and enhances the understanding of the rare-earth peak formation mechanism.
A sensitivity study was performed to investigate the impact of individual nuclear masses on r-process rare-earth peak abundances in different astrophysical scenarios. The most impactful nuclei are primarily distributed in two regions on the nuclear chart: one located 20-30 neutrons away from stability (defined as region I) and another 7-15 neutrons away from stability (defined as region II), as previously reported in Phys. Lett. B 844, 138092 (2023). In this study, we extend our analysis by focusing on the role of fission in the mass sensitivity study. The results show that, in astrophysical scenarios involving fission, the sensitivity of nuclei in region I is diminished owing to the deposition of a large number of fission fragments in the rare-earth mass region. However, nuclei in region II retain high sensitivity because the contribution of fission decreases in the later stages of nucleosynthesis. This study highlights the impact of fission on the sensitivity of r-process abundances to nuclear masses and enhances the understanding of the rare-earth peak formation mechanism.
2026, 50(1): 014107. doi: 10.1088/1674-1137/adfe54
Abstract:
The low-lying excitation energies of the\begin{document}$2_1^+, 4_1^+,2_2^+, 0_2^+,3_1^-, 0_3^+$\end{document} states in even-even nuclei are studied using two modern machine learning algorithms: the Light Gradient Boosting Machine (LightGBM) and Sparse Variational Gaussian Process (SVGP). The obtained results demonstrate that both LightGBM and SVGP perform well on the training and validation datasets when informed by a physics-based feature space. A detailed comparison of the results obtained for \begin{document}$2_1^+$\end{document} and \begin{document}$2_2^+$\end{document} states using the Hartree-Fock-Bogoliubov theory extended by the generator coordinate method and mapped onto a five-dimensional collective quadrupole Hamiltonian shows that both ML algorithms outperform this model in terms of accuracy. The extrapolation capabilities of these algorithms were further validated using newly measured 12 data points of \begin{document}$2_1^+$\end{document} and \begin{document}$2_2^+$\end{document} states, which were not included in the training set. In addition, the partial dependence plot method and the Shapley additive explanations method are used as interpretability tools to analyze the relationship between the input features and model predictions. These tools provide in-depth insights into how the input features influence the prediction of low-lying excitation energies and help identify the most important features that drive the prediction, which are valuable for understanding the low-lying excitation energies.
The low-lying excitation energies of the
2026, 50(1): 014108. doi: 10.1088/1674-1137/ae07ba
Abstract:
Event shape measurements are crucial for understanding the underlying event and multiple-parton interactions (MPIs) in high energy proton-proton (pp) collisions. In this study, the Tsallis blast-wave model with independent non-extensive parameters for mesons and baryons was applied to analyze the transverse momentum spectra of charged pions, kaons, and protons in pp collision events at\begin{document}$ \sqrt{s}=13 $\end{document} TeV classified by event shape estimators such as relative transverse event activity, unweighted transverse spherocity, and flattenicity. Our analysis reveals consistent trends in the kinetic freeze-out temperature and non-extensive parameter across different collision systems and event shape classes. The use of diverse event-shape observables in pp collisions has significantly expanded the accessible freeze-out parameter space, enabling a more comprehensive exploration of its boundaries. Among these event shape classifiers, flattenicity emerges as a unique observable for disentangling hard process contributions from additive MPI effects, which helps isolate collective motion effects encoded by the radial flow velocity. Through the analysis of the interplay between event-shape measurements and kinetic freeze-out properties, we gain deeper insights into mechanisms responsible for flow-like signatures in pp collisions.
Event shape measurements are crucial for understanding the underlying event and multiple-parton interactions (MPIs) in high energy proton-proton (pp) collisions. In this study, the Tsallis blast-wave model with independent non-extensive parameters for mesons and baryons was applied to analyze the transverse momentum spectra of charged pions, kaons, and protons in pp collision events at
2026, 50(1): 014109. doi: 10.1088/1674-1137/ae042f
Abstract:
We modified the deformed Gamow-like model (DGLM) by incorporating the effect of daughter nucleus deformation on Coulomb interaction between the daughter nucleus and emitted proton. Using this modified DGLM, we systematically calculated the half-lives of both single- and two-proton radioactivities within a unified framework. Computational results demonstrate remarkable consistency with the experimentally observed radioactivity half-lives. In addition, our study explores how deformation affects penetration probabilities and establishes a universal curve relating penetration probability to experimental half-lives, validating the efficacy of the DGLM. Further, we made unified predictions for the half-lives of potential single-proton and two-proton radioactive nuclei, which align well with other models, thereby underscoring the reliability of the DGLM in predicting proton radioactivity.
We modified the deformed Gamow-like model (DGLM) by incorporating the effect of daughter nucleus deformation on Coulomb interaction between the daughter nucleus and emitted proton. Using this modified DGLM, we systematically calculated the half-lives of both single- and two-proton radioactivities within a unified framework. Computational results demonstrate remarkable consistency with the experimentally observed radioactivity half-lives. In addition, our study explores how deformation affects penetration probabilities and establishes a universal curve relating penetration probability to experimental half-lives, validating the efficacy of the DGLM. Further, we made unified predictions for the half-lives of potential single-proton and two-proton radioactive nuclei, which align well with other models, thereby underscoring the reliability of the DGLM in predicting proton radioactivity.
2026, 50(1): 014110. doi: 10.1088/1674-1137/ae0f85
Abstract:
The properties of neutrons from spectator sources produced in 107,124Sn + 120Sn collisions at 600 MeV/nucleon are studied. The isospin-dependent quantum molecular dynamics (IQMD) model is used to describe the dynamical process of fragmentation, and the statistical model GEMINI is applied to simulate the secondary decay of the pre-fragments. The differential cross section and multiplicity of the neutrons emitted from the spectator source are used to prove the model's feasibility. The temperatures of the spectator source are extracted by two-source-fitting the transverse momentum distributions of the neutrons using the classical Maxwellian functions. The temperatures of the spectator sources extracted from calculations are consistent with the experimental data, those from the SMM model, and the isotopic temperature\begin{document}$ T_{\text{HeLi}} $\end{document} . However, the participant source exhibits anomalously high temperatures. Our work suggests the possible model-errors of the IQMD+GEMINI model when describing the neutron emission from the participant source, which is reference for the further development of the model.
The properties of neutrons from spectator sources produced in 107,124Sn + 120Sn collisions at 600 MeV/nucleon are studied. The isospin-dependent quantum molecular dynamics (IQMD) model is used to describe the dynamical process of fragmentation, and the statistical model GEMINI is applied to simulate the secondary decay of the pre-fragments. The differential cross section and multiplicity of the neutrons emitted from the spectator source are used to prove the model's feasibility. The temperatures of the spectator source are extracted by two-source-fitting the transverse momentum distributions of the neutrons using the classical Maxwellian functions. The temperatures of the spectator sources extracted from calculations are consistent with the experimental data, those from the SMM model, and the isotopic temperature
2026, 50(1): 014111. doi: 10.1088/1674-1137/ae0307
Abstract:
This paper presents a systematic investigation of α-decay properties in even-even isotopic chains of Po (\begin{document}$ Z=84 $\end{document} ), Cm (\begin{document}$ Z=96 $\end{document} ), Hs (\begin{document}$ Z=108 $\end{document} ), and Fl (\begin{document}$ Z=114 $\end{document} ) using a semi-classical approach. Ground-state properties, including binding energies and nucleon density distributions, are calculated by minimizing a Skyrme-based energy density functional augmented with microscopic corrections. The derived nuclear densities and \begin{document}$ Q_\alpha $\end{document} -values are used to construct the α decay potential through the double-folding model (DFM). The α-decay dynamics are treated quantum mechanically based on the preformed cluster model (PCM) within the Wentzel-Kramers-Brillouin (WKB) approximation. The analysis reveals distinct signatures of spherical shell closures at \begin{document}$ N=126 $\end{document} and \begin{document}$ N=184 $\end{document} , along with secondary anomalies near \begin{document}$ N = 148 $\end{document} , \begin{document}$ 152 $\end{document} , and \begin{document}$ 162 $\end{document} , which are consistent with deformed sub-shell effects predicted by nuclear structure models. The signature of daughter nuclear stability is systematically observed through one or more of the following features: shortened α-decay half-lives, enhanced \begin{document}$ Q_\alpha $\end{document} values, increased penetrabilities, and/or reduced assault frequencies. A new universal scaling relation, relating the decay half-lives and a scaled combination of nuclear charge and decay energy, is established, showing strong correlation across a wide mass range. Systematic comparisons demonstrate particular predictive advantages for superheavy nuclei, with the proposed method accurately reproducing observed half-life variations across all isotopic chains. The results confirm the sensitivity of α-decay observables to both spherical and deformed shell effects and reinforce the role of α-decay systematics as powerful tools for probing nuclear structure and guiding predictions in unexplored regions of the nuclear chart.
This paper presents a systematic investigation of α-decay properties in even-even isotopic chains of Po (
2026, 50(1): 014112. doi: 10.1088/1674-1137/ae07b8
Abstract:
The tilted-axis-cranking covariant density functional theory is applied to investigate the three newly-observed positive-parity bands SI, SII, and SIII in 69Ga. The energy spectra and angular momenta are calculated, and they agree closely with experimental data. For band SI, pairing correlations are crucial for the states with spin\begin{document}$I\leq 23/2\hbar$\end{document} . Bands SII and SIII are suggested to be signature partner bands with positive and negative signatures, respectively. By analyzing the angular momentum alignments, we reveal that the \begin{document}$g_{9/2}$\end{document} protons and neutrons are crucial in the collective structures of 69Ga. The transition probabilities \begin{document}$B(E2)$\end{document} for these bands are predicted, awaiting further experimental verification.
The tilted-axis-cranking covariant density functional theory is applied to investigate the three newly-observed positive-parity bands SI, SII, and SIII in 69Ga. The energy spectra and angular momenta are calculated, and they agree closely with experimental data. For band SI, pairing correlations are crucial for the states with spin
2026, 50(1): 014113. doi: 10.1088/1674-1137/ae1196
Abstract:
We perform the calculation of nuclear matrix elements for the neutrinoless double beta decays under a Left-Right symmetric model mediated by light neutrinos, and we adopt the spherical quasi-particle random-phase approximation (QRPA) approach with a realistic force. For eight nuclei: 76Ge, 82Se, 96Zr, 100Mo, 116Cd, 128Te, 130Te, and 136Xe, related nuclear matrix elements are given. We analyze each term, and the details of contributions from different parts are also provided. For the q term, we find that the weak-magnetism components of the nucleon current contribute equally to other components such as the axial-vector. We also discuss the influence of short-range correlations on these NMEs. It is found that the R term is more sensitive to short-range correlations than other terms due to the large portion of the contribution from high exchange momenta.
We perform the calculation of nuclear matrix elements for the neutrinoless double beta decays under a Left-Right symmetric model mediated by light neutrinos, and we adopt the spherical quasi-particle random-phase approximation (QRPA) approach with a realistic force. For eight nuclei: 76Ge, 82Se, 96Zr, 100Mo, 116Cd, 128Te, 130Te, and 136Xe, related nuclear matrix elements are given. We analyze each term, and the details of contributions from different parts are also provided. For the q term, we find that the weak-magnetism components of the nucleon current contribute equally to other components such as the axial-vector. We also discuss the influence of short-range correlations on these NMEs. It is found that the R term is more sensitive to short-range correlations than other terms due to the large portion of the contribution from high exchange momenta.
2026, 50(1): 015101. doi: 10.1088/1674-1137/ae039c
Abstract:
In this paper, the optical appearance of static and spherically symmetric hairy black holes is studied under the standard Einstein-Maxwell theory considering the p-power Yang-Mills term. During the research process, the specific case of\begin{document}$ p=1/2 $\end{document} was primarily selected for discussion. To understand the impact of the hairy parameter on black holes, we have studied the event horizon radius \begin{document}$ r_{\rm h} $\end{document} , photon sphere radius \begin{document}$ r_{\rm ph} $\end{document} , and radius of the innermost stable circular orbit \begin{document}$ r_{\rm isco} $\end{document} of this hairy black hole. Subsequently, we utilize the backward ray-tracing method to analyze the geodesics of photons around this black hole and discuss the influence of the hairy parameter on the photon geodesics. In addition, we calculate the distinctive shadow and photon ring structures of the black hole illuminated by a static thin accretion disk using three toy-model emission functions, and we briefly compare the optical appearance of the black hole in this nonlinear case (\begin{document}$ p=1/2 $\end{document} ) with that in the standard Yang-Mills case (\begin{document}$ p=1 $\end{document} ). The research results show that as the hairy parameter gradually increases, \begin{document}$ r_{\rm h} $\end{document} , \begin{document}$ r_{\rm ph} $\end{document} , \begin{document}$ r_{\rm isco} $\end{document} , and the critical impact parameter \begin{document}$ b_{\rm ph} $\end{document} of the black hole all exhibit a decreasing trend. Meanwhile, it also causes the area of the black hole shadow and the photon ring to decrease accordingly. Compared with the standard case (\begin{document}$ p=1 $\end{document} ), the nonlinear Einstein-Maxwell Yang-Mills black hole exhibits a larger shadow radius and brighter ring radius but with an overall dimmer brightness relative to the standard scenario, demonstrating observable differences. Consequently, for the static and spherically symmetric Einstein-Maxwell power-Yang-Mills hairy black hole, no degeneracy occurs in the photon ring and shadow. Theoretically, it can reflect different black hole solutions and thus verify the Yang-Mills hair.
In this paper, the optical appearance of static and spherically symmetric hairy black holes is studied under the standard Einstein-Maxwell theory considering the p-power Yang-Mills term. During the research process, the specific case of
2026, 50(1): 015102. doi: 10.1088/1674-1137/ae0725
Abstract:
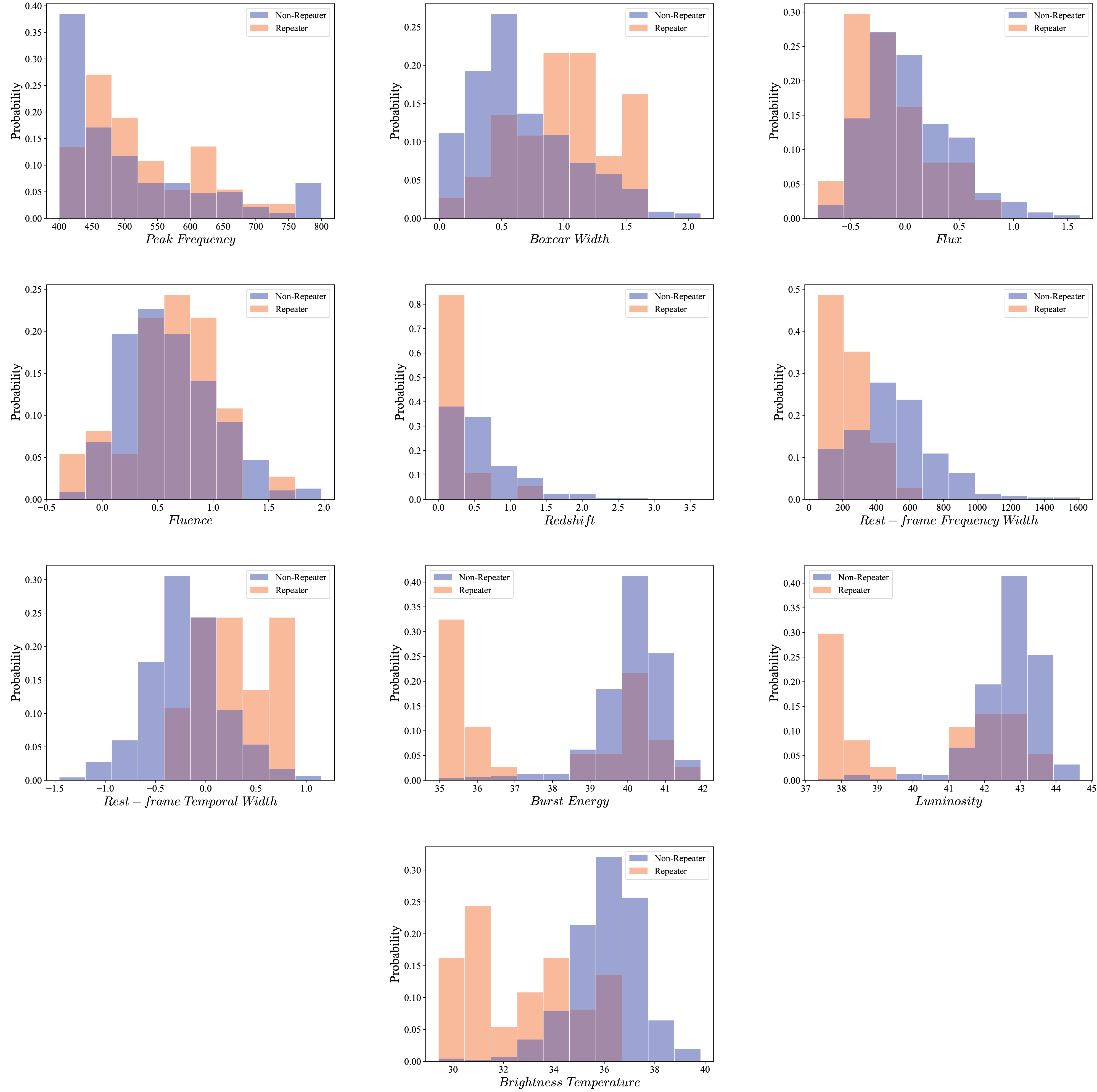
Fast radio bursts (FRBs) are short-duration and energetic radio transients of unknown origin. Observationally, they are commonly categorized into repeaters and non-repeaters. However, this binary classification may be influenced by observational limitations such as sensitivity and time coverage of telescopes. In this study, we employ unsupervised machine learning techniques to re-examine the CHIME/FRB catalog, with the goal of identifying intrinsic groupings in the FRB population without relying on preassigned labels. Using t-distributed stochastic neighbor embedding (t-SNE) for dimensionality reduction and hierarchical density-based spatial clustering of applications with noise (HDBSCAN) for clustering, we find that the FRB sample naturally separates into two major clusters. One cluster contains nearly all known repeaters but is contaminated by some apparently non-repeaters, while the other cluster is dominated by non-repeaters. This suggests that certain FRBs previously labeled as non-repeaters may share intrinsic similarities with repeaters. Mutual information analysis reveals that rest-frame frequency width and peak frequency are the most informative features governing the clustering structure. Even when reducing the input space to just these two features, the classification remains robust.
Fast radio bursts (FRBs) are short-duration and energetic radio transients of unknown origin. Observationally, they are commonly categorized into repeaters and non-repeaters. However, this binary classification may be influenced by observational limitations such as sensitivity and time coverage of telescopes. In this study, we employ unsupervised machine learning techniques to re-examine the CHIME/FRB catalog, with the goal of identifying intrinsic groupings in the FRB population without relying on preassigned labels. Using t-distributed stochastic neighbor embedding (t-SNE) for dimensionality reduction and hierarchical density-based spatial clustering of applications with noise (HDBSCAN) for clustering, we find that the FRB sample naturally separates into two major clusters. One cluster contains nearly all known repeaters but is contaminated by some apparently non-repeaters, while the other cluster is dominated by non-repeaters. This suggests that certain FRBs previously labeled as non-repeaters may share intrinsic similarities with repeaters. Mutual information analysis reveals that rest-frame frequency width and peak frequency are the most informative features governing the clustering structure. Even when reducing the input space to just these two features, the classification remains robust.
2026, 50(1): 015103. doi: 10.1088/1674-1137/ae07b4
Abstract:
Hawking radiation elucidates black holes as quantum thermodynamic systems, thereby establishing a conceptual bridge between general relativity and quantum mechanics through particle emission phenomena. While conventional theoretical frameworks predominantly focus on classical spacetime configurations, recent advancements in extended phase space thermodynamics have redefined cosmological parameters (such as the Λ-term) as dynamic variables. Notably, the thermodynamics of anti-de Sitter (AdS) black holes has been successfully extended to incorporate thermodynamic pressure P. Within this extended phase space framework, although numerous intriguing physical phenomena have been identified, the tunneling mechanism of particles incorporating pressure and volume remains unexplored. This study investigates Hawking radiation through particle tunneling in Schwarzschild AdS black holes within the extended phase space, where the thermodynamic pressure P is introduced via a dynamic cosmological constant Λ. By employing semi-classical tunneling calculations with self-gravitation corrections, we demonstrate that emission probabilities exhibit a direct correlation with variations in Bekenstein-Hawking entropy. Significantly, the radiation spectrum deviates from pure thermality, aligning with unitary quantum evolution while maintaining consistency with standard phase space results. Moreover, through thermodynamic analysis, we verified that the emission rate of particles is related to the difference in Bekenstein-Hawking entropy of the emitted particles before and after they tunnel through the potential barrier. These findings establish particle tunneling as a unified probe of quantum gravitational effects in black hole thermodynamics.
Hawking radiation elucidates black holes as quantum thermodynamic systems, thereby establishing a conceptual bridge between general relativity and quantum mechanics through particle emission phenomena. While conventional theoretical frameworks predominantly focus on classical spacetime configurations, recent advancements in extended phase space thermodynamics have redefined cosmological parameters (such as the Λ-term) as dynamic variables. Notably, the thermodynamics of anti-de Sitter (AdS) black holes has been successfully extended to incorporate thermodynamic pressure P. Within this extended phase space framework, although numerous intriguing physical phenomena have been identified, the tunneling mechanism of particles incorporating pressure and volume remains unexplored. This study investigates Hawking radiation through particle tunneling in Schwarzschild AdS black holes within the extended phase space, where the thermodynamic pressure P is introduced via a dynamic cosmological constant Λ. By employing semi-classical tunneling calculations with self-gravitation corrections, we demonstrate that emission probabilities exhibit a direct correlation with variations in Bekenstein-Hawking entropy. Significantly, the radiation spectrum deviates from pure thermality, aligning with unitary quantum evolution while maintaining consistency with standard phase space results. Moreover, through thermodynamic analysis, we verified that the emission rate of particles is related to the difference in Bekenstein-Hawking entropy of the emitted particles before and after they tunnel through the potential barrier. These findings establish particle tunneling as a unified probe of quantum gravitational effects in black hole thermodynamics.
2026, 50(1): 015104. doi: 10.1088/1674-1137/ae07be
Abstract:
Coulomb-like interactions typically have a cross-section that scales with relative particle velocity according to\begin{document}$ \sigma=\sigma_0 v^{-4} $\end{document} . The momentum transfer rate between slightly charged dark matter (DM) and ionized particles increases significantly at low velocity, producing prominent evaporation effects on small-sized DM overdensities, which is a non-negligible influence for the evolution of DM subhalos. We calculate the subhalo evaporation rate in the ionized galactic region and show that, below the limits from current cosmic microwave background and baryon acoustic oscillation data, galactic ionized particles can effectively evaporate subhalos with masses below \begin{document}$ 10^{7.5} \;M_\odot $\end{document} at a kilo-parsec distance from the galactic center, which can potentially affect the subhalo distribution in the inner galaxy. We also show the evaporation limits in terms of the electron-recoil direct detection cross-section and show that the evaporation effects can readily extend to the sub-MeV range, which is unconstrained in direct detection experiments.
Coulomb-like interactions typically have a cross-section that scales with relative particle velocity according to
2026, 50(1): 015105. doi: 10.1088/1674-1137/ae0b43
Abstract:
In the era of third-generation (3G) gravitational-wave (GW) detectors, GW standard siren observations from binary neutron star mergers provide a powerful tool for probing the expansion history of the universe. Because sterile neutrinos can influence cosmic evolution by modifying the radiation content and suppressing structure formation, GW standard sirens offer promising prospects for constraining sterile neutrino properties within a cosmological framework. Building on this, we investigate the prospects of detecting sterile neutrinos in dynamical dark energy (DE) models using joint observations from 3G GW detectors and a future short gamma-ray burst detector, such as a THESEUS-like telescope. We consider the wCDM, holographic DE (HDE), and Chevallier–Polarski–Linder (CPL) models. Our results show that the properties of DE can influence the constraints on sterile neutrino parameters. Moreover, the inclusion of GW data significantly improves constraints on both sterile neutrino parameters and other cosmological parameters across all three models compared to the current limits derived from CMB+BAO+SN (CBS) observations. When GW data are included in the CBS dataset, a preference for\begin{document}$ \Delta N_{\rm{eff}} > 0 $\end{document} emerges at approximately the \begin{document}$ 1\sigma $\end{document} level in the wCDM and CPL models, while it reaches approximately \begin{document}$ 3\sigma $\end{document} in the HDE model. Moreover, the upper limits on \begin{document}$ m_{\nu,{\rm{sterile}}}^{\rm{eff}} $\end{document} are reduced by approximately 13%, 75%, and 3% in the wCDM, HDE, and CPL models, respectively.
In the era of third-generation (3G) gravitational-wave (GW) detectors, GW standard siren observations from binary neutron star mergers provide a powerful tool for probing the expansion history of the universe. Because sterile neutrinos can influence cosmic evolution by modifying the radiation content and suppressing structure formation, GW standard sirens offer promising prospects for constraining sterile neutrino properties within a cosmological framework. Building on this, we investigate the prospects of detecting sterile neutrinos in dynamical dark energy (DE) models using joint observations from 3G GW detectors and a future short gamma-ray burst detector, such as a THESEUS-like telescope. We consider the wCDM, holographic DE (HDE), and Chevallier–Polarski–Linder (CPL) models. Our results show that the properties of DE can influence the constraints on sterile neutrino parameters. Moreover, the inclusion of GW data significantly improves constraints on both sterile neutrino parameters and other cosmological parameters across all three models compared to the current limits derived from CMB+BAO+SN (CBS) observations. When GW data are included in the CBS dataset, a preference for
2026, 50(1): 015106. doi: 10.1088/1674-1137/ae07bc
Abstract:
\begin{document}$F(R)$\end{document} models for dark energy generally exhibit a weak curvature singularity, which can be cured by adding an \begin{document}$R^2$\end{document} term. This correction allows for a unified description of primordial and late-time accelerated expansions. However, most existing models struggle to achieve this, as they become unstable over certain negative ranges of the Ricci scalar, where either the first or second derivative of \begin{document}$F(R)$\end{document} turns negative. These instabilities may disrupt the post-inflationary evolution when the Ricci scalar oscillates about the vacuum state after the \begin{document}$R^2$\end{document} inflation. In this paper, we introduce a model-building process to guarantee global stability, i.e., the first and second derivatives are positive for all real Ricci scalars. By extending the idea from Appleby and Battye, we demonstrate that viable models can be constructed by imposing a positive, bounded first derivative of \begin{document}$F(R)$\end{document} with a sigmoid shape. Building upon this framework, we first reformulate and generalize the original Appleby-Battye model. Then, we propose a dark energy model that successfully explains the acceleration of cosmic expansion and passes local gravity tests.
2026, 50(1): 015107. doi: 10.1088/1674-1137/ae0b42
Abstract:
Determining the spatial curvature of the Universe, a fundamental parameter defining the global geometry of spacetime, remains crucial yet contentious due to existing observational tensions. Although Planck satellite measurements have provided precise constraints on spatial curvature, discrepancies persist regarding whether the Universe is flat or closed. Here, we introduce a model-independent approach leveraging deep learning techniques, specifically residual neural networks (ResNet), to reconstruct the dimensionless Hubble parameter E(z) and the normalized comoving distance D(z) from H(z) data and multiple SNe Ia compilations. Our dual-block ResNet architecture, which integrates a model-driven block informed by\begin{document}$ \Lambda $\end{document} CDM and a purely data-driven block, yields smooth and robust reconstructions and enables the derivation of D'(z). By combining these reconstructed quantities, we assess the curvature diagnostic function \begin{document}$ {\cal{O}}_k(z) $\end{document} . Analyses of the Pantheon+ sample support spatial flatness at the 1\begin{document}$ \sigma $\end{document} level over 0 < z < 2.5, with a mild tendency toward negative curvature at high redshift. Reconstructions based on Union3 and DESY5, however, show stronger departures toward negative curvature at intermediate and high redshifts. These results highlight the need for expanded and refined observational datasets to conclusively resolve these tensions and comprehensively investigate cosmic geometry.
Determining the spatial curvature of the Universe, a fundamental parameter defining the global geometry of spacetime, remains crucial yet contentious due to existing observational tensions. Although Planck satellite measurements have provided precise constraints on spatial curvature, discrepancies persist regarding whether the Universe is flat or closed. Here, we introduce a model-independent approach leveraging deep learning techniques, specifically residual neural networks (ResNet), to reconstruct the dimensionless Hubble parameter E(z) and the normalized comoving distance D(z) from H(z) data and multiple SNe Ia compilations. Our dual-block ResNet architecture, which integrates a model-driven block informed by
2026, 50(1): 015108. doi: 10.1088/1674-1137/ae1184
Abstract:
We address a specific problem of the Newman-Janis algorithm: how to determine the general form of the complex transformation for the Schwarzschild metric and ensure that the resulting axisymmetric metric satisfies the zero-scalar-curvature condition\begin{document}$ R=0 $\end{document} . In this context, the zero-scalar-curvature condition acts as a constraint. Owing to this condition, we refer to the class of black holes as the "Newman-Janis class of Schwarzschild black holes" to emphasize the potential of the Newman-Janis algorithm as a classification tool for axisymmetric black holes. The general complex transformation we derive not only generates the Kerr, Taub-NUT, and Kerr-Taub-NUT black holes under specific choices of parameters but also suggests the existence of additional axisymmetric black holes. Our findings create an alternative avenue using the Newman-Janis algorithm to construct new axisymmetric black holes.
We address a specific problem of the Newman-Janis algorithm: how to determine the general form of the complex transformation for the Schwarzschild metric and ensure that the resulting axisymmetric metric satisfies the zero-scalar-curvature condition
ISSN 1674-1137 CN 11-5641/O4
Original research articles, Ietters and reviews Covering theory and experiments in the fieids of
- Particle physics
- Nuclear physics
- Particle and nuclear astrophysics
- Cosmology
Author benefits
- A SCOAP3 participating journal - free Open Access publication for qualifying articles
- Average 24 days to first decision
- Fast-track publication for selected articles
- Subscriptions at over 3000 institutions worldwide
- Free English editing on all accepted articles
News
- CPC Announces 2025 Outstanding Reviewers
- Chinese Physics C Outstanding Reviewer Award 2023
- Impact factor of Chinese Physics C is 3.6 in 2022
- 2022 CPC Outstanding Reviewer Awards
- The 2023 Chinese New Year-Office closure
Cover Story
- Cover Story (Issue 1, 2026) A focused review of quintom cosmology: from quintom dark energy to quintom bounce
- Cover Story (Issue 11, 2025) The Earth-Magnet Assists DAMPE in Studying Cosmic Anti-Electrons
- Cover Story (Issue 9, 2025): Precise measurement of Ïc0 resonance parameters and branching fractions of Ïc0,c2âÏï¼Ïï¼/ K+K-
- Cover Story (Issue 8, 2025) A Novel Perspective on Spacetime Perturbations: Bridging Riemannian and Teleparallel Frameworks
- Cover Story (Issue 7, 2025) Evidence of the negative parity linear chain states in 16C










